Главная >> Алгебра 7 класс. Макарычев. ГДЗ

Дополнительные упражнения к главе 6

К параграфу 16

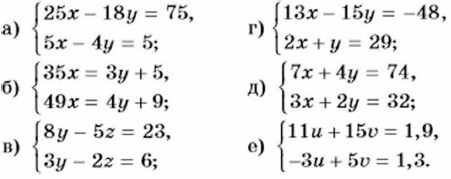
1168. Решите систему уравнений:

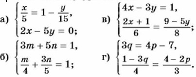
1169. Найдите решение системы уравнений:

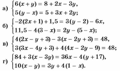
1170. Решите систему уравнений:

1171. Найдите решение системы:

1172. Решите систему уравнений:

1173. Имеет ли решения система уравнений:

1174. Проходят ли прямые 2x + 3y = 20, 3x - 5y = 11 и x + y = 9 через одну и туже точку?

1175. Задайте формулой линейную функцию, график которой проходит через точки:

    а) A(1; 2) и В(-2; 3); б) М(-5; 0) и К (2; -1).

1176. (Для работы в парах.) Напишите уравнение вида у = kх + 5, график которого проходит через точки: а) М(-1; 1) и Р(4; 4); б) А(-3; 3) и B(3; -3).

    1) Обсудите друг с другом ход решения задачи.

    2) Распределите, кто выполняет задание а), а кто — задание б), и выполните их.

    3) Проверьте друг у друга, правильно ли составлены уравнения, построив соответствующие графики.

1177. Автомобиль проделал путь за 8 ч. Сначала он шёл со скоростью 40 км/ч, а затем со скоростью 60 км/ч. Весь этот путь он мог бы пройти за то же время, если бы шёл со скоростью 45 км/ч. Сколько часов шёл автомобиль со скоростью 40 км/ч и сколько со скоростью 60 км/ч?

1178. Велосипедист ехал от пункта А до пункта В со скоростью 10 км/ч, а от пункта В до пункта С со скоростью 15 км/ч. На весь путь он затратил 5 ч. Тот же путь за то же время он мог бы проехать со скоростью 12 км/ч. Сколько часов затратил велосипедист на путь от A до В и сколько на путь от В до С?

1179. В первый день засеяли первого ноля и второго, что составило 340 га. Во второй засеяли оставшейся части первою поля, что на 60 га меньше половины оставшейся части второго поля. Найдите площадь каждого поля.

1180. Если каждую сторону прямоугольника увеличить на 3 см, то ею площадь увеличится на 90 см2. Если же длину прямоугольника увеличить на 5 см, а ширину уменьшить на 2 см, то ею площадь увеличится на 20 см2. Найдите стороны прямоугольника.

1181. Написали два числа. Если первое число увеличить на 30%, а второе уменьшить на 10%, то их сумма увеличится на 6. Если же первое число уменьшить на 10%, а второе — на 20%, то их сумма уменьшится на 16. Какие числа были написаны?

1182. В магазине находилось два мешка с рисом одинаковой массы и один мешок с пшеном. Масса всех трёх мешков составляла 160 кг. После того как из каждою мешка с рисом продали 20% риса, а из мешка с пшеном — 25% пшена, масса крупы в мешках составила 125 кг. Сколько килограммов риса и пшена было в каждом мешке первоначально?

1183. За 8 дней работы на первом станке и 5 дней работы на втором было изготовлено 235 деталей. В результате усовершенствования производительность первого станка возросла на 15%, а второго — на 20%. Теперь за 2 дня работы на первом станке и 3 дня на втором можно изготовить 100 деталей. Сколько деталей в день изготовляли раньше на каждом станке?

Решенния >>>

 

 

???????@Mail.ru