Главная >> Домашние работы к учебнику Макарычева. Алгебра 7 класс

Решенния упражнений

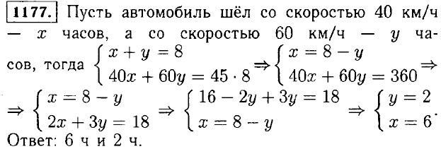
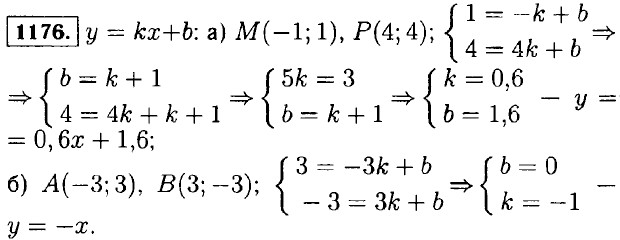
Дополнительные упражнения к параграфу 16 (окончание)

<<< К началу

 

 

???????@Mail.ru