Главная >> Домашние работы к учебнику Макарычева. Алгебра 7 класс

Решенния упражнений

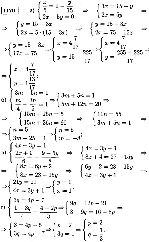
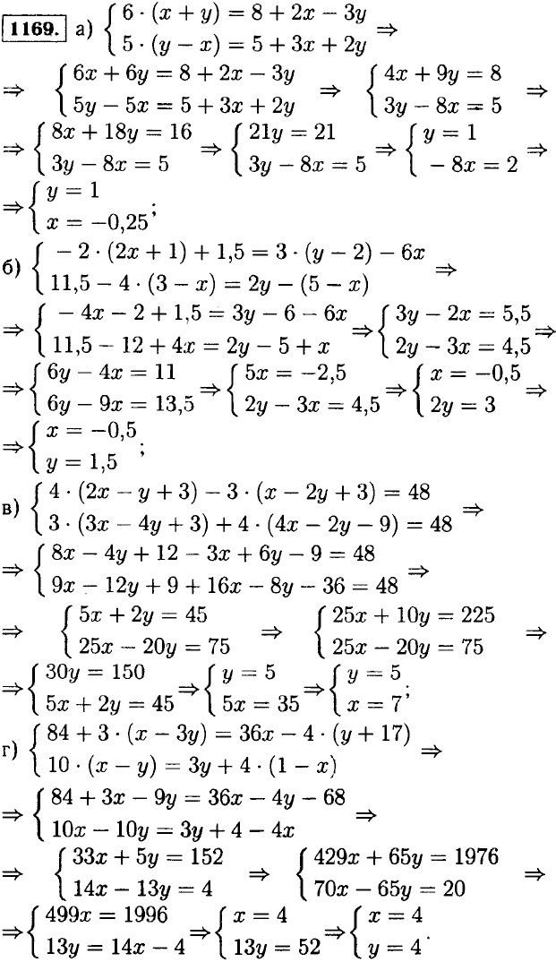
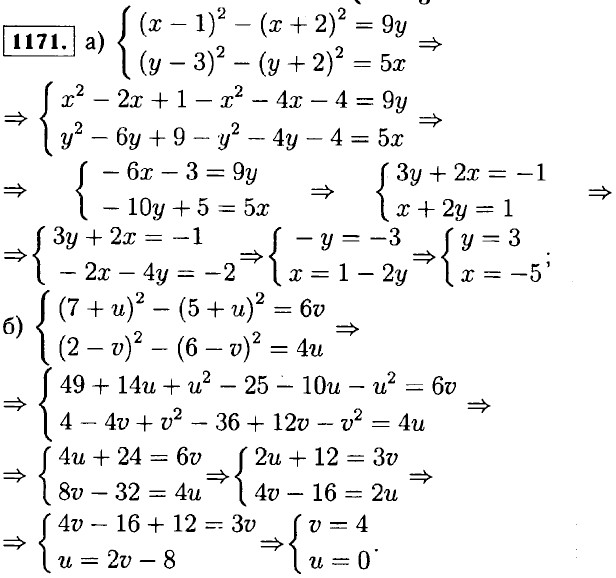
Дополнительные упражнения к параграфу 16

<<< К началу   Решенния (окончание) >>>

 

 

???????@Mail.ru