Главная >> Алгебра 7 класс Мордкович

Глава 1. Математический язык. Математическая модель

§ 1. Числовые и алгебраические выражения (окончание)

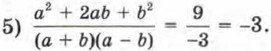
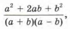
Пример 2. Найти значение алгебраического выражения

если: a) а = 1, b = 2; б) а = 3,7, b = -1,7;

Р е ш е н и е.

а) Соблюдая порядок действий, последовательно находим:

    1) а2 + 2ab + b2 = 12 + 2 • 1 -2 + 22 = 1 + 4 + 4 = 9;
    2) а + b = 1 + 2 = 3;
    3) а - b = 1 - 2 = -1;
    4) (а + b)(а -b) = 3 (-1) = -3;

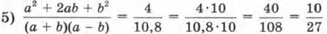
б) Аналогично, соблюдая порядок действий, последовательно находим:

    1) а2 + 2аb + b2 = 3,72 + 2 • 3,7 • (-1,7) + (-1,7)2 = 13,69 - 12,58 + 2,89 = 4;
    2) а + b = 3,7 4- (-1,7) = 2;
    3) а - b = 3,7 - (-1,7) = 5,4;
    4) (а + 5)(а - b) = 2 • 5,4 = 10,8;

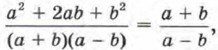
(разделили числитель и знаменатель дроби на 4, т. е. сократили дробь).

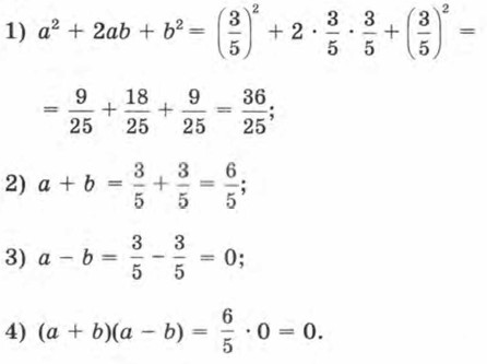
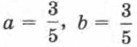
в) Снова, соблюдая порядок действий, последовательно находим:

А на нуль делить нельзя! Что это значит в данном случае (и в других аналогичных случаях)? Это значит, что при заданное алгебраическое выражение не имеет смысла.

Используется такая терминология: если при конкретных значениях букв (переменных) алгебраическое выражение имеет числовое значение, то указанные значения переменных называют допустимыми; если же при конкретных значениях букв (переменных) алгебраическое выражение не имеет смысла, то указанные значения переменных называют недопустимыми. Так, в примере 2 значения а = 1 и b = 2, а = 3,7 и b = -1,7 — допустимые, тогда как значения — недопустимые (более точно: первые две пары значений — допустимые, а третья пара значений — недопустимая).

Вообще в примере 2 недопустимыми будут такие значения переменных а, Ь, при которых либо а + b = 0, либо а - b = 0. Например, а = = 7, b = -7 или а = 28,3, b = 28,3 — недопустимые пары значений; в первом случае а + b = 0, а во втором случае а - b = 0. В обоих случаях знаменатель заданного в этом примере выражения обращается в нуль, а на нуль, повторим ещё раз, делить нельзя. Теперь, наверное, вы и сами сможете придумать как допустимые пары значений для переменных а, b, так и недопустимые пары значений этих переменных в примере 2. Попробуйте!

Замечание 1. Пример 2в) на самом деле мы решали плохо (некультурно), поскольку сделали ряд лишних, ненужных вычислений. Надо было сразу заметить, что при знаменатель обращается в нуль, и объявить: выражение не имеет смысла! Но, как говорится, сразу замечает тот, кто знает, что надо замечать. Этому и учит алгебра.

Замечание 2. Если бы мы с вами решали пример 2 позднее, то сделали бы это лучше. Мы бы смогли преобразовать выражение к более простому виду а тогда, согласитесь, гораздо проще было бы и вычислять. А вот почему верно равенство пока мы сказать не можем. На этот вопрос ответим позднее (см. с. 152, § 35).

    Вопросы для самопроверки

1. Сформулируйте определение числового выражения.

2. Приведите три примера числового выражения.

3. Что называют алгебраическим выражением?

4. Используя переменные тип, составьте два алгебраических выражения.

5. Что такое значение числового выражения?

6. Что такое значение алгебраического выражения?

7. Найдите значение выражения при х = 1, х = 2,5.

8. Сформулируйте переместительный закон сложения.

9. Сформулируйте переместительный закон умножения.

10. Сформулируйте сочетательный закон сложения.

11. Сформулируйте сочетательный закон умножения.

12. Сформулируйте основное свойство дроби.

13. В чём состоит правило сложения отрицательных чисел?

14. В чём состоит правило сложения чисел с разными знаками?

15. Как вы понимаете фразу: «Заданное алгебраическое выражение не имеет смысла»? Приведите пример такого выражения.

16. Какие значения переменных называют допустимыми?

17. Какие значения переменных называют недопустимыми?

<<< К началу

 

 

???????@Mail.ru