Главная >> Алгебра 7 класс Мордкович

Глава 1. Математический язык. Математическая модель

§ 2. Что такое математический язык

На математическом языке многие утверждения выглядят яснее и прозрачнее, чем на обычном. Например, на обычном языке говорят: «От перемены мест слагаемых сумма не меняется». Слыша это, математик пишет (или говорит)

    а + b = b + а.

Он переводит высказанное утверждение на математический язык, в котором используются разные числа, буквы (переменные), знаки арифметических действий, иные символы. Запись а + b = b + а экономна и удобна для применения.

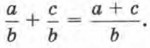
Возьмём другой пример. На обычном языке говорят: «Чтобы сложить две обыкновенные дроби с одинаковыми знаменателями, нужно сложить их числители, а знаменатель оставить без изменения». Математик осуществляет «синхронный перевод» на свой язык:

А вот пример обратного перевода. На математическом языке записан распределительный закон:

    а(b + с) = ab + ас.

Осуществляя перевод на обычный язык, получим длинное предложение: «Чтобы умножить число а на сумму чисел b и с, надо число а умножить поочерёдно на каждое слагаемое и полученные произведения сложить».

Во всяком языке есть письменная и устная речь. Выше мы говорили о письменной речи в математическом языке. А устная речь — это употребление специальных терминов («слагаемое», «уравнение», «неравенство», «график», «координата» и т. п.), а также различные математические утверждения, выраженные словами.

Чтобы овладеть новым языком, необходимо изучить его буквы, слоги, слова, предложения, правила, грамматику. Это не самое весёлое занятие, интереснее сразу читать и говорить. Но так не бывает, придётся набраться терпения и сначала изучить основы. В результате такого изучения ваши представления о математическом языке будут постепенно расширяться.

    Вопросы для самопроверки

1. Вспомните из курса математики 5—6-го классов правила действий с обыкновенными дробями. Сформулируйте их на обычном языке и постарайтесь осуществить перевод этих правил на математический язык.

2. Вспомните из курса математики 5—6-го классов правила действий с положительными и отрицательными числами. Сформулируйте их на обычном языке и постарайтесь осуществить перевод этих правил на математический язык.

3. Запишите на математическом языке: из суммы чисел 3 и 8 вычесть произведение чисел 7 и 12.

4. Запишите на математическом языке: чтобы умножить число m на сумму чисел n и к, надо число т умножить на каждое слагаемое и полученные произведения сложить. О каком законе идёт речь?

5. Запишите на математическом языке: чтобы умножить число р на разность чисел q и t, надо число р умножить сначала на уменьшаемое, затем на вычитаемое, и из первого произведения вычесть второе. О каком законе идёт речь?

 

 

???????@Mail.ru