Главная >> Алгебра 7 класс Мордкович

Глава 4. Степень с натуральным показателем и её свойства

§ 15. Что такое степень с натуральным показателем (окончание)

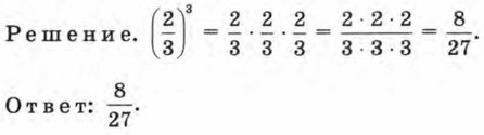
Пример 3. Вычислить

Как вы думаете, полностью ли соответствует названию параграфа определение 1? Параграф называется «Что такое степень с натуральным показателем», т.е. имеется в виду, что в качестве показателя может фигурировать любое натуральное число. А любое ли натуральное число фигурирует в качестве показателя в определении 1? Как вы ответите на этот вопрос?

Ответим на этот вопрос вместе: мы говорили о степени аn, где n = 2, 3, 4, ..., а вот случай, когда n = 1, пока упустили из виду («потеряли» одно натуральное число). Это упущение исправим с помощью нового определения.

Определение 2. Степенью числа а с показателем 1 называют само это число:

    а1 = а.

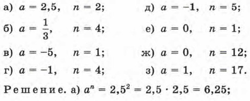
Пример 4. Найти значение степени аn при заданных значениях аил:

Операцию отыскания степени аn называют возведением в степень. В примере 4 мы рассмотрели восемь случаев возведения в степень.

Пример 5. Вычислить 71 • 32 • (-2)3.

Р е ш е н и е. 1) 71 = 7;

2) 32 = 3 • 3 = 9;

3) (-2)3 = (-2) • (-2) • (-2) = -8;

4) 7 • 9 • (- 8) = -504.

О т в е т: -504.

В рассмотренных примерах мы несколько раз возводили в степень отрицательные числа. Заметили ли вы закономерность: если отрицательное число возводится в чётную степень, то получается положительное число, если же отрицательное число возводится в нечётную степень, то получается отрицательное число? Попробуйте объяснить, почему это так.

    Вопросы для самопроверки

1. Что означает символ аn, где n = 2, 3, 4, ...?

2. Что означает символ а1?

3. В записи 79 назовите, что является степенью, что основанием степени, что показателем степени.

4. Запишите число 212 в виде степени с другим основанием.

<<< К началу

 

 

???????@Mail.ru