Главная >> Алгебра 7 класс Мордкович

Глава 4. Степень с натуральным показателем и её свойства

§ 16. Таблица основных степеней

Вы знаете таблицу умножения, в неё включены произведения любых двух однозначных чисел (3 • 5, 4 • 7 и т. д.), этой таблицей вы постоянно пользуетесь при вычислениях. На практике полезна и таблица степеней простых однозначных чисел (в пределах тысячи). Составим её.

21 = 2
22 = 4
23 = 8
24 = 16
25 = 32
26 = 64
27 = 128
28 = 256
29 = 512
210 = 1024

31 = 3
32 = 9
33 = 27
34 = 81
35 = 243
36 = 729

51 = 5
52 = 25
53 = 125
54 = 625

71 = 7
72 = 49
73 = 343

С помощью этой таблицы можно находить и степени составных чисел (поэтому такие степени в таблицу обычно не включают). Например:

93 = 9 • 9 • 9 = (3 • 3)(3 • 3)(3 • 3) = 3 • 3 • 3 • 3 • 3 • 3 = 36 = 729.

Пример 1. Известно, что 2n = 128, 3k = 243. Что больше: n или k?

Р е ш е н и е. По таблице находим, что 128 = 27, значит, n = 7. По таблице также находим, что 243 = 35, значит, k = 5. Так как 7 > 5, то n > k.

О т в е т: n > k.

1n = 1 для любого n;
0n = 0 для любого n;
если n — чётное число (n = 2, 4, 6, 8, ...),
то (-1)n = 1;
если n — нечётное число (n = 1, 3, 5, 7, ...),
то (-1)n = -1.

Кстати, используя формулу чётного числа n = 2k и формулу нечётного числа п = 2k - 1, можем записать, что

(-1)2k - 1; (-1)2k - 1 = -1.

А теперь выберем в качестве основания степени число 10:

    101 = 10, 102 = 100, 103 = 1000.

Обратите внимание: каков показатель, столько нулей надо записать после цифры 1.

Вообще

Например, 106 = 1 000 000, 100 000 = 105.

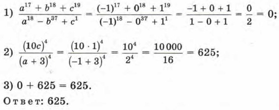
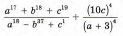
Пример 2. Найти значение выражения

при а = -1, b = 0, с = 1.

Р е ш е н и е.

В заключение данного параграфа ещё раз отметим, что математики всегда стремятся к краткости записей, чёткости рассуждений. Поэтому, введя новое понятие, они начинают изучать его свойства, а затем применяют эти свойства на практике.

О разных свойствах степени с натуральным показателем поговорим в следующем параграфе, а пока, забегая вперёд, заметим, что если бы одно из таких свойств мы уже знали, то не вычисляли бы так долго 93, как это было сделано выше. Мы бы записали так:

    93 = (32)3 = 36 = 729.

Видите, запись в два раза короче. А почему это так, узнаете в § 17.

    Вопросы для самопроверки

1. Чему равно значение выражения (-1)2012? (-1)2013?

2. Сколько нулей содержится в записи числа 102012?

3. Что больше: 01000 или 110?

 

 

???????@Mail.ru