Главная >> Алгебра 7 класс Мордкович

Глава 4. Степень с натуральным показателем и её свойства

§ 17. Свойства степени с натуральными показателями

Бо́льшая часть математических утверждений проходит в своём становлении три этапа.

На первом этапе человек в ряде конкретных случаев подмечает некоторую закономерность.

На втором этапе он пытается сформулировать подмеченную закономерность в общем виде, т.е. предполагает, что эта закономерность действует не только в рассмотренных случаях, но и во всех других аналогичных случаях.

На третьем этапе он пытается доказать, что закономерность, сформулированная (гипотетически) в общем виде, на самом деле верна.

Доказать какое-либо утверждение — это значит объяснить, почему оно верно (объяснить убедительно, а не так: «это верно потому, что это верно»). При доказательстве можно ссылаться только на уже известные факты.

Давайте попытаемся вместе пройти все три этапа, попробуем самостоятельно открыть, сформулировать и доказать свойства степеней, хорошо известные в математике.

Открытие первое

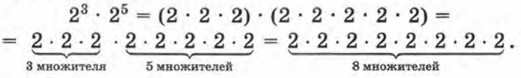
Пример 1. Вычислить: а) 23 • 25; б) 31 • 34.

Р е ш е н и е, а) Имеем

Всего имеется 8 одинаковых множителей, каждый из которых равен 2, т. е. 28, что по таблице (см. § 16) даёт 256.

б) Имеем

О т в е т: а) 256; 6) 243.

В процессе решения примера мы заметили, что

    23 • 25 = 28, т. е. 23 • 25 = 23 + 5;

    31 • 34 = 35, т.е. 31 • 34 = 31 + 4.

Наблюдается закономерность: основания перемножаемых степеней одинаковы, при этом показатели складываются. Первый этап завершён.

На втором этапе осмелимся предположить, что мы открыли (для себя) общую закономерность: аn • аk = аn + k.

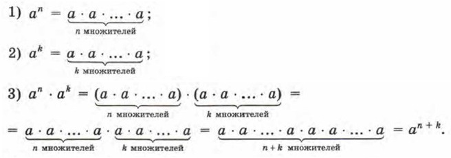
Теорема 1.

Для любого числа а и любых натуральных чисел n и k справедливо равенство

    аn • аk = аn + k

Обычно теорему формулируют так: если ... (условие), то ... (заключение). Например, теорему 1 можно (и, честно говоря, так было бы аккуратнее) сформулировать следующим образом:

Если а — любое число и n, k — натуральные числа, то справедливо равенство

    аn • аk = аn + k

На третьем этапе надо доказать, что наше предположение верно, т.е. доказать теорему 1. Сделаем это и мы — доказательство приведено ниже. Прочитайте его. Если чувствуете в себе силы, то попытайтесь разобраться в нём (оно состоит в том, что мы трижды используем определение степени с натуральным показателем); если же нет — ограничьтесь прочтением.

Д о к а з а т е л ь с т в о.

Теорема доказана.

Итак, первое открытие у нас состоялось. Идём дальше.

Продолжение >>>

 

 

???????@Mail.ru