Главная >> Алгебра 7 класс Мордкович

Глава 5. Одночлены. Арифметические операции над одночленами

§ 20. Понятие одночлена. Стандартный вид одночлена (окончание)

Числовой множитель одночлена, записанного в стандартном виде, называют коэффициентом одночлена.

Любой одночлен можно привести к стандартному виду.

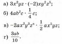
Пример. Привести одночлен к стандартному виду и назвать коэффициент одночлена:

Р е ш е н и е,

    а) 3х2уz • (-2)ху2z5 = 3 • (-2)x2xyy2zz5 = -6х3у3z6. Коэффициент одночлена равен -6.

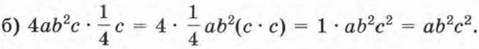
Коэффициент одночлена равен 1, такой коэффициент обычно не пишут, но подразумевают.

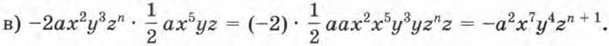
Коэффициент одночлена равен -1.

    г) А это, как говорят, «маленькая провокация»: одночлен не надо приводить к стандартному виду, он и так записан в стандартном виде: Коэффициент одночлена равен 0,3.

    Вопросы для самопроверки

1. Что такое одночлен?

2. Можно ли назвать одночленом выражение 2a3bc2? 2a3 + bc2?

3. Расскажите, как привести одночлен к стандартному виду, и проиллюстрируйте свой рассказ на примере одночлена 3abc2a3bc2.

4. Приведите свой пример одночлена, записанного в стандартном виде, и одночлена, не записанного в стандартном виде. Во втором случае приведите одночлен к стандартному виду.

5. Составьте одночлен с переменными х, у и с коэффициентом 1.

6. Составьте одночлен с переменными а, b и с коэффициентом -1.

<<< К началу

 

 

???????@Mail.ru