Главная >> Алгебра 7 класс Мордкович

Глава 5. Одночлены. Арифметические операции над одночленами

§ 20. Понятие одночлена. Стандартный вид одночлена

Определение. Одночленом называют алгебраическое выражение, которое представляет собой произведение чисел и переменных, возведённых в степень с натуральными показателями.

Примеры одночленов:

Одночленами являются, в частности, также все числа, любые переменные, степени переменных. Например, одночленами являются:

    0; 2; -0,6; х; а; b; х2; а3; bn (n ∈ N).

Теперь приведём примеры алгебраических выражений, не являющихся одночленами:

А как вы считаете: выражение — одночлен или нет? Ведь оно по форме похоже на выражение которое фигурирует у нас в числе выражений, не являющихся одночленами, и содержит в своей записи черту дроби. Тем не менее — одночлен:

Вот ещё два примера, построенных на контрасте: Как вы считаете, какое из этих выражений одночлен, а какое нет? А теперь проверьте себя: — одночлен, его можно записать в виде выражение не является одночленом. Термины в математике надо употреблять правильно.

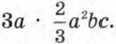
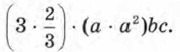
Рассмотрим одночлен Глядя на это выражение, математик обычно рассуждает так: «От перемены мест множителей произведение не изменится, запишу-ка я это выражение в более удобном виде:

Тогда, — думает математик, — я получу 2а3bс, а эта запись приятнее той, что была, хотя бы потому, что короче. Кроме того, в ней нет того сумбура, какой был сначала: первый множитель — число, второй — переменная а, затем снова число, потом опять переменная а, но уже в квадрате и т. д.».

Стремящийся к чёткости, краткости и порядку математик на самом деле привёл одночлен к стандартному виду.

Вообще, чтобы, привести одночлен к стандартному виду, нужно:

    1) перемножить все числовые множители и поставить их произведение на первое место;

    2) перемножить все имеющиеся степени с одним буквенным основанием;

    3) перемножить все имеющиеся степени с другим буквенным основанием и т. д.

Окончание >>>

 

 

???????@Mail.ru