Главная >> Алгебра. 8 класс. Макарычев

§ 1. Рациональне дроби и их свойства

Рациональные выражения: Ответы

14. При каком значении переменной значение дроби равно:

    а) 1; б) 0; в) -1; г) 3?

15. При каких значениях переменной равно нулю значение дроби:

16. Определите знак дроби , если известно, что:

    а) а > 0 и b > 0;
    б) а > 0 и b < 0;

    в) a < 0 и b > 0;
    г) а < 0 и b < 0.

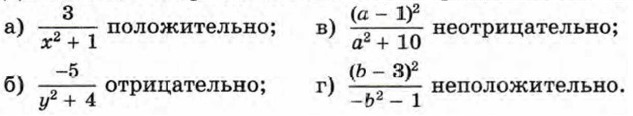
17. Докажите, что при любом значении переменной значение дроби:

18. При каком значении а принимает наибольшее значение дробь:

19. При каком значении b принимает наименьшее значение дробь:

20. Чему равно наибольшее значение дроби Выберите верный ответ.

    1. Равно 0   2. Равно 1   3. Равно 2   4. Равно 3

Упражнения для повторения

21. Преобразуйте в многочлен:

    а) (2а + 3)(2а - 3);
    б) (р - 5b)(у + 5b);
    в) (0,8x + у)(у- 0,8х);

    г) (b + 0,5)2;
    д) (а - 2x)2;
    е) (ab - 1)2.

22. Разложите на множители:

    а) х2 - 25;
    б) 16 - с2;
    в) а2 - 6а + 9;

    г) х2 + 8х + 16;
    д) а3 - 8;
    е) b3 + 27.

Ответы

    4. а) -10; б) 2,5.

    8. а) 2,5 ч; б) 2 ч.

    12. д) Все числа, кроме 6 и -6; е) все числа, кроме 0 и -7.

    18. а) При а = 0; б) при а = 3.

    19. При b = 0; б) при b = 2.

<<< К началу

 

 

???????@Mail.ru