Главная >> Алгебра. 8 класс. Макарычев

§ 1. Рациональне дроби и их свойства

Основное свойство дроби. Сокращение дробей

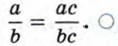
Мы знаем, что для обыкновенных дробей выполняется следующее свойство: если числитель и знаменатель дроби умножить на одно и то же натуральное число, то значение дроби не изменится. Иначе говоря, при любых натуральных значениях а, b и с верно равенство

Докажем, что это равенство верно не только при натуральных, но и при любых других значениях а, b и с, при которых знаменатель отличен от нуля, т. е. при b ≠ 0 и с ≠ 0.

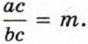
Пусть Тогда по определению частного а = bm. Умножим обе части этого равенства на с:

    ас = (bm)с.

На основании сочетательного и переместительного свойств умножения имеем:

    ас = (bс)m.

Так как bс ≠ 0, то по определению частного

Значит,

Мы показали, что для любых числовых значений переменных а, b и с, где b ≠ 0 и с ≠ 0, верно равенство

Равенство (1) сохраняет силу и в том случае, когда под буквами а, b и с понимают многочлены, причём b и с — ненулевые многочлены, т. е. многочлены, не равные тождественно нулю.

Равенство (1) выражает основное свойство рациональной дроби:

если числитель и знаменатель рациональной дроби умножить на один и тот же ненулевой многочлен, то получится равная ей дробь.

Например,

Это равенство верно при всех допустимых значениях переменных. Такие равенства будем называть тождествами. Ранее тождествами мы называли равенства, верные при всех значениях переменных. Теперь мы расширяем понятие тождества.

Определение. Тождеством называется равенство, верное при всех допустимых значениях входящих в него переменных.

Основное свойство рациональной дроби позволяет выполнять приведение дроби к новому знаменателю и сокращение дробей.

Приведём примеры.

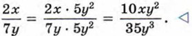
Пример 1. Приведём дробь к знаменателю 35у3.

Так как 35у3 = 7у • 5у2, то, умножив числитель и знаменатель дроби на 5у2 получим:

Множитель 5у2 называют дополнительным множителем к числителю и знаменателю дроби

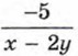
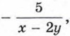
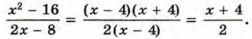
Пример 2. Приведём дробь к знаменателю х - 2у.

Для этого числитель и знаменатель данной дроби умножим на -1:

Дробь можно заменить тождественно равным выражением поставив знак «минус» перед дробью и изменив знак в числителе:

если изменить знак числителя (или знак знаменателя) дроби и знак перед дробью, то получим выражение, тождественно равное данному.

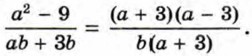
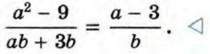
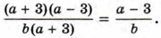
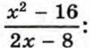
Пример 3. Сократим дробь

Разложим числитель и знаменатель дроби на множители:

Сократим полученную дробь на общий множитель а + 3:

Итак,

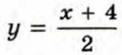
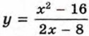
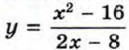
Пример 4. Построим график функции

Область определения функции -- множество всех чисел, кроме числа 4. Сократим дробь

Графиком функции является прямая, а графиком функции -- та же прямая, но с «выколотой» точкой (4; 4) (рис. 1).

Продолжение >>>

 

 

???????@Mail.ru