Главная >> Алгебра. 8 класс. Макарычев

§ 6. Свойства арифметического квадратного корня

Квадратный корень из степени (продолжение)

Упражнения

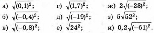
393. Вычислите:

394. Найдите значение выражения:

395. Замените выражение тождественно равным:

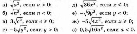
396. Упростите выражение:

397. Упростите выражение зная, что:

    а) 0 ≤ а < 2; б) а ≥ 2.

398. (Для работы в парах.) Пользуясь калькулятором, найдите значение выражения при x, равном: а) 2,71; б) 12,62.

    1) Обсудите, как можно упростить выражение, и выполните намеченное преобразование.
    2) Распределите, кто вычисляет значение выражения для случая а), а кто — для случая б), и выполните их.
    3) Проверьте друг у друга правильность выполненных преобразований и вычислений.

399. Верно ли равенство:

400. Упростите выражение:

401. Найдите значение корня:

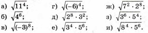
402. Вычислите:

403. Извлеките корень, представив подкоренное выражение в виде произведения простых множителей:

404. Вычислите:

<<< К началу          Ответы >>>

 

 

???????@Mail.ru