Главная >> Алгебра. 8 класс. Макарычев

§ 6. Свойства арифметического квадратного корня

Квадратный корень из степени

Найдём значение выражения √х2 при х = 5 и при х = -6:

В каждом из рассмотренных примеров корень из квадрата числа равен модулю этого числа:

ТЕОРЕМА

При любом значении х верно равенство

    √х2 = |x|.

Рассмотрим два случая: х ≥ 0 и х < 0. Если х ≥ 0, то по определению арифметического квадратного корня √х2 = х. Если х < 0, то -х > 0, поэтому Мы знаем, что |х| = х, если х ≥ 0, и |х| = -х, если х < 0. Значит, при любом х значение выражения √х2 совпадает со значением выражения |х|.

Равенство (1) является тождеством. Это тождество применяется при извлечении квадратного корня из степени с чётным показателем. Чтобы извлечь корень из степени с чётным показателем, достаточно представить подкоренное выражение в виде квадрата некоторого выражения и воспользоваться тождеством (1).

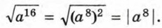
Пример 1. Упростим выражение Представим степень а16 в виде (а8)2 и воспользуемся тождеством (1):

Так как а8 ≥ 0 при любом а, то |а8| = а8. Итак, √а16 = а8.

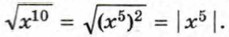
Пример 2. Преобразуем выражение √х10, где х < 0.

Представим х10 в виде (х5)2, получим

Так как х < 0, то х5 < 0, поэтому |х5|= -х5.

Значит, при х < 0

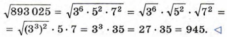
Пример 3. Найдём значение выражения

Представим число 893 025 в виде произведения простых множителей, получим

Пример 4. Упростим выражение

Продолжение >>>

 

 

???????@Mail.ru