Главная >> Алгебра. 8 класс. Макарычев

§ 9. Дробные рациональные уравнения

Решение дробных рациональных уравнений: Ответы

Упражнения для повторения

613. Найдите значение выражения х2 - 2ху + у2 при x = 3 + √5, у = 3 - √5.

614. Принадлежат ли графику функции у = х2 + 2х + 5 точки A(1,5; 7,25), В(-3,2; 9) и С(23 - 1; 7)?

615. Упростите выражение:

616. Сравните с нулём значение выражения:

Ответы

    600. г) 1; д) -27; -1; е) -0,2

    601. а)-12,5; б) 3; 4; в) 6; г)-1; 3,5; е) 0; -8; ж) 1; 1,5; з) 0; 1,5.

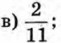
    602. г) 1; 10; д) -1; 1; е) 1; 2; з) -3,5; 5.

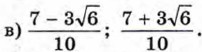
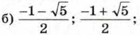
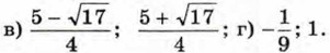
    603. а) 3 - √5; 3 + √5; б) -6; 5; г) -9; 1; д) корней нет; е) 4

    605. а) 6; в) корней нет; г) 5; д) -6; 6; е) -4; 4.

    606. а) 2; б) 1; в) -11; г) 6.

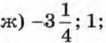
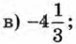
    607. а)-3; 0; в) 3; г) -3; 3; д) 9; 13;

    608. а) 1; 7; б) 1 - √14; 1 + √14;

    609.

    610. a) -√2; √2; б) -3; 3.

    615. а) √y б) √y

<<< К началу

 

 

???????@Mail.ru