Главная >> Алгебра. 8 класс. Макарычев

§ 9. Дробные рациональные уравнения

Решение дробных рациональных уравнений (продолжение)

Упражнения

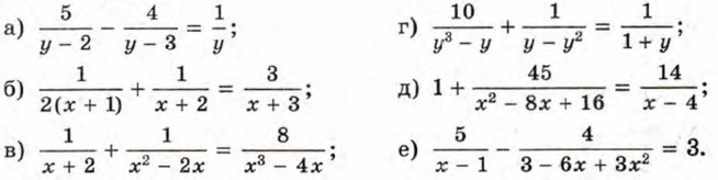
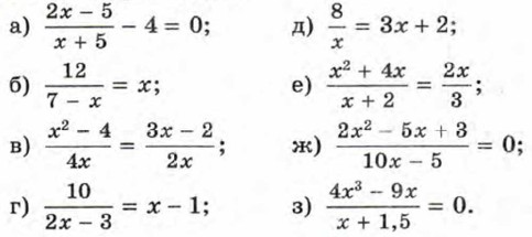
600. Найдите корни уравнения:

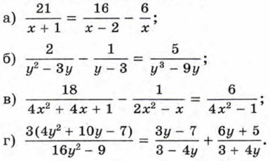
601. Решите уравнение:

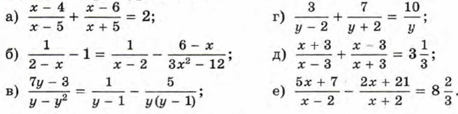
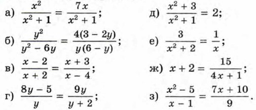
602. Найдите корни уравнения:

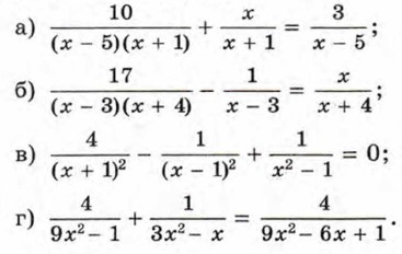
603. Решите уравнение:

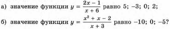
604. При каком значении х:

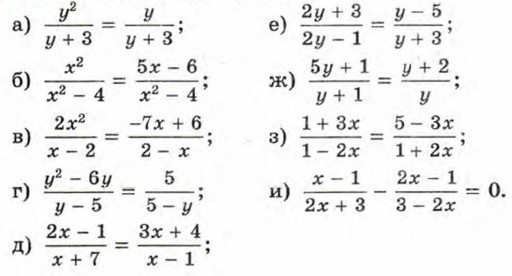
605. Найдите корни уравнения:

606. Найдите значение переменной у, при котором:

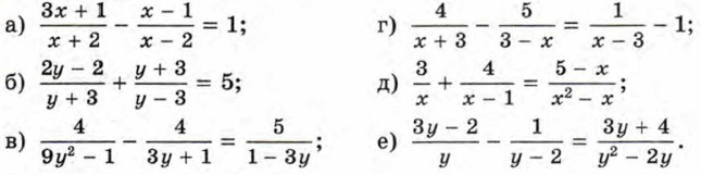
607. Решите уравнение:

608. Решите уравнение:

609. Найдите корни уравнения:

610. (Для работы в парах.) Решите уравнение:

    1) Обсудите, какие преобразования и в какой последовательности надо выполнить, чтобы найти корни уравнения.
    2) Распределите, кто выполняет задание а), а кто — задание б), и выполните их.
    3) Проверьте друг у друга, правильно ли решено уравнение.

611. Решите графически уравнение:

612. С помощью графиков выясните, сколько корней может иметь уравнение где а и b — некоторые числа. Для каждого случая укажите, каким условиям должны удовлетворять числа а и b.

<<< К началу          Ответы >>>

 

 

???????@Mail.ru