Главная >> Алгебра. 8 класс. Макарычев

§ 9. Дробные рациональные уравнения

Решение дробных рациональных уравнений

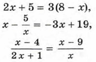
В уравнениях

левая и правая части являются рациональными выражениями. Такие уравнения называют рациональными уравнениями. Рациональное уравнение, в котором и левая и правая части являются целыми выражениями, называют целым. Рациональное уравнение, в котором левая или правая часть является дробным выражением, называют дробным. Так, уравнение 2х + 5 = 3(8 - х) целое, а уравнения и дробные рациональные.

Пример 1. Решим целое уравнение

Умножим обе части уравнения на наименьший общий знаменатель входящих в него дробей, т. е. на число 6. Получим уравнение, равносильное данному, не содержащее дробей:

    3(х - 1) + 4х = 5х.

Решив его, найдём, что х = 1,5.

Пример 2. Решим дробное рациональное уравнение

По аналогии с предыдущим примером умножим обе части уравнения на общий знаменатель дробей, т. е. на выражение х(х - 5). Получим целое уравнение

    x(x - 3) + x - 5 = x + 5.                     (2)

Понятно, что каждый корень уравнения (1) является корнем уравнения (2). Но уравнение (2) может быть не равносильно исходному, так как мы умножили обе его части не на число, отличное от нуля, а на выражение, содержащее переменную, которое может обращаться в нуль. Поэтому не каждый корень уравнения (2) обязательно окажется корнем уравнения (1). Упростив уравнение (2), получим квадратное уравнение

    х2 - 3х - 10= 0.

Его корни — числа -2 и 5.

Проверим, являются ли числа -2 и 5 корнями уравнения (1). При х = -2 общий знаменатель х(х- 5) не обращается в нуль. Значит, число -2 — корень уравнения (1).

При х = 5 общий знаменатель обращается в нуль и выражения теряют смысл. Поэтому число о не является корнем уравнения (1).

Итак, корнем уравнения (1) служит только число -2.

Вообще при решении дробных рациональных уравнений целесообразно поступать следующим образом:

    1) найти общий знаменатель дробей, входящих в уравнение;
    2) умножить обе части уравнения на общий знаменатель;
    3) решить получившееся целое уравнение;
    4) исключить из его корней те, которые обращают в нуль общий знаменатель.

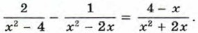
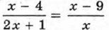
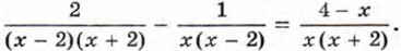
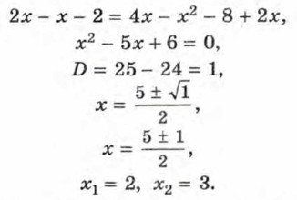
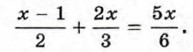
Пример 3. Решим уравнение

Имеем

Общий знаменатель дробей x(x - 2)(х + 2).

Умножив обе части уравнения на общий знаменатель дробей, получим

    2х - (х + 2) = (4 - х)(х - 2).

Отсюда

Если x = 2, то х(х - 2)(х + 2) = 0; если х = 3, то х(х - 2)(х + 2) ≠ 0. Значит, корнем исходного уравнения является число 3.

Ответ: 3.

Продолжение >>>

 

 

???????@Mail.ru