Главная >> Алгебра. 8 класс. Макарычев

§ 11. Неравенства с одной переменной и их системы

Решение неравенств с одной переменной (окончание)

848. Решите неравенство:

    а) 4b(1 - 3b) - (b - 12b2) < 43;
    б) 3у2 - 2у - 3у(у - 6) ≥ -2;
    в) 2р(5р + 2) - р(10р + 3) ≤ 14;
    г) а(а - 1) - (а2 + а) < 34.

849. Решите неравенство:

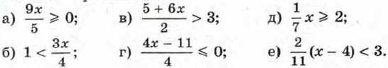
850. Решите неравенство:

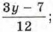
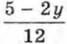
851. При каких значениях у:

    а) значения дроби больше соответствующих значении дроби
    б) значения дроби меньше соответствующих значении дроби
    в) значения двучлена 5y — 1 больше соответствующих значении дроби
    г) значения дроби меньше соответствующих значении двучлена 1 - 6у!

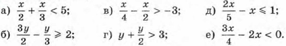
852. Решите неравенство:

853. Решите неравенство и покажите на координатной прямой множество его решений:

854. Решите неравенство:

855. Решите неравенство:

856. а) При каких значениях а сумма дробей положительна?
б) При какаких значениях b разность дробей отрицательна?

857. Решите неравенство:

858. При каких значениях х функция, заданная формулой у = 2x + 13, принимает положительные значения? отрицательные значения?

859. При каких значениях переменной имеет смысл выражение:

860. Найдите область определения функции:

861. Найдите:

    а) наибольшее целое число, удовлетворяющее неравенству


      1,6- (3- 2у) < 5;

    б) наименьшее целое число, удовлетворяющее неравенству

      8(6 - у) < 24,2 - 7у.

862. При каких натуральных значениях n:

    а) разность (2 - 2n) - (5n - 27) положительна;
    б) сумма (-27,1 + 3n) + (7,1 + 5n) отрицательна?

863. Найдите множество значений а, при которых уравнение

    (а + 5)х2 + 4х - 20 = 0

не имеет корней.

864. Найдите множество значений k, при которых уравнение

    (k - 4)х2 + 16х- 24 = 0

имеет два корня.

865. Длина стороны прямоугольника 6 см. Какой должна быть длина другой стороны, чтобы периметр прямоугольника был меньше периметра квадрата со стороной 4 см?

866. Длина основания прямоугольного параллелепипеда 12 дм, ширина 5 дм. Какой должна быть высота параллелепипеда, чтобы его объём был меньше объёма куба с ребром 9 дм?

867. Одна из переплётных мастерских берёт по 48 р. за книгу и ещё 140 р. за оформление заказа, а другая — по 56 р. за книгу и 90 р. за оформление заказа. Укажите наименьшее число книг, при котором заказ выгоднее сделать в первой мастерской.

868. За денежный почтовый перевод до 1000 р. в некотором городе берётся плата 7 р. плюс 5% от переводимой суммы. Посетитель имеет 800 р. Укажите наибольшее целое число рублей, которое он может перевести.

869. Туристы отправились на моторной лодке по течению реки и должны вернуться обратно к стоянке не позднее чем через 3 ч. На какое расстояние могут отъехать туристы, если скорость течения реки 2 км/ч, а скорость лодки в стоячей воде 18 км/ч?

<<< К началу          Ответы >>>

 

 

???????@Mail.ru