Главная >> Алгебра. 8 класс. Макарычев

§ 11. Неравенства с одной переменной и их системы

Решение неравенств с одной переменной: Ответы

Упражнения для повторения

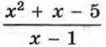
870. Найдите значение дроби при х = 1 - √3.

871. Решите уравнение:

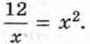
872. Решите графически уравнение

873. Моторная лодка прошла 30 км по течению реки и возвратилась обратно, затратив на весь путь 5 ч 20 мин. Найдите скорость лодки в стоячей воде, если известно, что скорость течения реки равна 3 км/ч.

Ответы

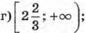
    836. а) (5; +∞); б) (4; +∞); в) (-∞; -1]; г) (-∞; 3]; д) (-∞; 0,15); е) ж) (-∞; -0,25); з) (-∞; 0]; и) (-8; +∞); к) (0; +∞); л) (18; +∞); м) (7; +∞).

    837. а) (-∞; 8,5); б) [-0,6;+∞); в) (4;+∞); г) (7,5;+∞); е) (1,8; +∞); 3) (-∞; -2,4]; и) (-∞; 12); к) (0; +∞); л) [-30; +∞); м) [-20; +∞).

    840. а) (-∞; 0,4); б) (-∞; -0,4); в) [-5; +∞); д) (-1,4; +∞); е) (-∞; -1]; ж) (-о∞; 12,6]; з) [-13; +∞).

    841. а) (-∞; 1); б) (-∞; 2); в) [6; +∞); д) (-∞; 0); е) (-∞; 9); ж) (-13; +∞);

    842. а) При х б) при у > 7; в) при с < -25.

    843. а) При a < 2,5; б) при р > 5.

    844. б) (9; +∞); в) (-∞; -3,1]; г) (-∞; 0,8]; е)(-∞; 22,5); ж) (-∞; 2].

    845. б) [0; +∞); в) (1; +∞); д) (-∞; 4,7]; е) [4,8; +∞).

    846. а) (6; +∞); б) (0; +∞); в) (-∞; -5]; г)(-3; +∞).

    847. а) (-∞; 2); б) (2; +∞); в) (-0,4; +∞);

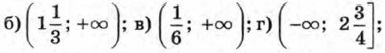
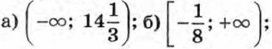
    848. в) (-∞; 14]; г) (-17; +∞).

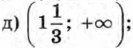
    849. а) (2,5; +∞); б) (-∞; 6); в) [0; +∞); г) (3; +∞); д) (-4; +∞);

    850. а) [0; +∞); д) [14; +∞); е) (-∞; 20,5).

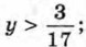
    851. а) При у < 3; б) при y > 7; в) при при у < 0,1.

    852. а) (-∞; 6); в) (-∞; 12); г) (2; +∞); е) (0; +∞).

    853. а) (-∞; 0,2); б) (-∞; 0,5]; в) (-∞; 40]; г) (-∞; -10].

    854. в) [1,5; +∞); г) (-∞; 3,5]; д) (-∞; -10); е) (9; +∞).

    855. б) [-5; +∞); в) (-∞; -0,6];

    856. а) При а > 0,7; б) при b < 3.

    857. а) х — любое число; б), в), г) решений нет.

    859. а) При х ≥ 2; г) при а ≤ 1,4; д) при х ≥ 0,2; е) при х ≥ 6.

    860. а) (-∞; -8) ∪ (-8; 0,5].

    861. а) 3; б) 24.

    862. а) 1; 2; 3; 4; б) 1; 2.

    863. (-∪; -5,2).

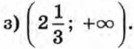
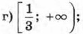
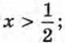
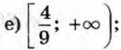
    864.

    865. Меньше 2 см.

    866. Меньше 12,15 дм.

    867. 7 книг.

    868. 755 р.

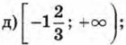
    869. Не более

    870. 3.

    871. а) 1; 4; б) 0; 1.

    873. 12 км/ч.

<<< К началу

 

 

???????@Mail.ru