Главная >> Алгебра. 8 класс. Макарычев

§ 11. Неравенства с одной переменной и их системы

Решение систем неравенств с одной переменной: Ответы

Упражнения для повторения

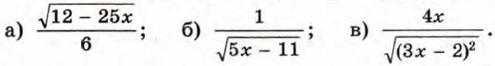
901. Укажите допустимые значения переменной:

902. Найдите все натуральные значения n, при которых значение дроби — натуральное число.

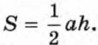
903. а) Выразите переменную h через S и а, если

б) Выразите переменную р через s и m, если

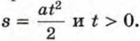
в) Выразите переменную t через s и а, если

904. Велосипедист проехал 20 км по дороге, ведущей в гору, и 60 км по ровной местности, затратив на весь путь 6 ч. С какой скоростью ехал велосипедист на каждом участке пути, если известно, что в гору он ехал со скоростью, на 5 км/ч меньшей, чем по ровной местности?

Контрольные вопросы и задания

1. Что называется пересечением двух множеств? объединением двух множеств?

2. Изобразите на координатной прямой числовые промежутки различного вида, назовите и обозначьте их.

3. Что называется решением неравенства? Является ли решением неравенства 3х - 11 > 1 число 5; число 2? Что значит решить неравенство?

4. Что называется решением системы неравенств? Является ли решением системы неравенств число 3? число 5? Что значит решить систему неравенств?

Ответы

    877. а) (6; +∞); б) (-∞; -1); г) решений нет.

    878. а) (0,8; +∞); б) [2; 4]; г) (0,1; 0,2).

    879. а) [2; 2,5]; б) (1,5; 3);

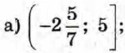
    880. а) (-12; 2]; б) решений нет; в) (0; 15); г) (-∞; -3).

    881. а) (-1; 0,8); б) (-∞; -1,5]; г) [3; 6,7).

    882. а) (-∞; 2,4); б) решений нет; г) [1,5; +∞).

    883. а) (-∞; 1]; в) [3; 6]; г) [-1; 1,5].

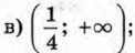
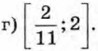
    884. а) [2,5; 11) ∪ (11; +∞); б) [0,5; 2) ∪ (2; +∞).

    885. а) (3; +∞); б) (-∞; -3); в) [-11; 3]; г) решений нет.

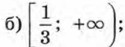
    886. б) (0,1; +∞); в) (-0,24; +∞); г) (-∞; -1,8).

    887. а) -4, -3, -2, -1, 0, 1, 2, 3; б) 2, 3, 4, 5, 6; в) -1, 0, 1, 2, 3; г) -2, -1, 0.

    888. а) 0, 1, 2, 3 б) 4, 5, 6, 7; в) 1; г) 1.

    889. а) (-∞; 2,8); б) решений нет.

    890. а) (-∞; 6) б) (1; 15); в) [0,6; 5]; г) (2; 16].

    891. б) (-2; -1); в) решений нет;

    892. а) (-1; 2); б) (-12; 17); в) (0,5; 2); г) (-1; 3).

    893. б) [-11; 7);

    894. а) [-1;2); б) [3; 9]; в) (-0,7; 1,1);

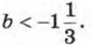
    895. а) При б) при 0,5 ≤ b ≤ 6,5.

    896. -4 < а < 4.

    897.

    899. а) (-∞; 2); б) (1; 4).

    900. а) (1; 7); б) (1; 3).

    901. а) х ≤ 0,48; б) х > 2,2;

    902. 1, 2, 3, 4, 6, 12.

    904. 10 км/ч и 15 км/ч.

<<< К началу

 

 

???????@Mail.ru