Главная >> Алгебра. 8 класс. Макарычев

§ 11. Неравенства с одной переменной и их системы

Доказательство неравенств

Один из приёмов доказательства неравенств состоит в том, что составляют разность левой и правой частей неравенства и показывают, что она сохраняет знак при любых указанных значениях переменных. Этот приём вам уже приходилось применять в простых случаях. Покажем его применение на более сложном примере.

Пример 1. Докажем, что

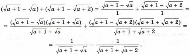
Составим разность левой и правой частей неравенства и преобразуем её:

Для того чтобы оценить составленную разность, каждое из выражений, записанных в скобках, представим в виде дроби со знаменателем 1 и освободимся от иррациональности в её числителе. Получим

Так как функция у = √x является возрастающей, то знаменатель первой дроби меньше, чем знаменатель второй, т. е. первая дробь больше второй. Следовательно, разность дробей является положительной. Заданное неравенство доказано.

Ещё один приём доказательства неравенств состоит в том, чтобы показать, что данное неравенство следует из других неравенств, справедливость которых известна.

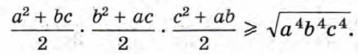
Пример 2. Докажем, что

    (a2 + bc)(b2 + ас)(с2 + ab) ≥ 8а2b2с2, если а > 0, b > 0, с > 0.

Из соотношения между средним арифметическим и средним геометрическим двух положительных чисел следует, что при указанных значениях переменных

Перемножив эти неравенства, получим, что

Отсюда

    2 + bc)(b2 + ас) (с2 + ab) ≥ 8а2b2с2.

Неравенство доказано.

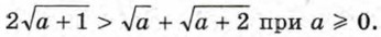
В отдельных случаях удаётся доказать неравенство, используя некоторые очевидные соотношения. В качестве таких очевидных соотношений могут быть взяты, например, такие: (1 + а)2 >1 + 2а при любом а, не равном нулю, при с > 0, при х ≥ -1 и т. п.

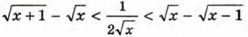
Пример 3. Докажем, что двойное неравенство

верно при любом х ≥ 1.

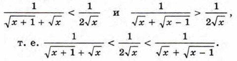
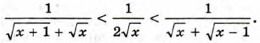
Заменим разности соответственно равными им дробями Тогда данное неравенство примет вид

Так как при x ≥ 1, то

Неравенство доказано.

Окончание >>>

 

 

???????@Mail.ru