Главная >> Алгебра. 8 класс. Макарычев

Алгебра. 8 класс

Задачи повышенной трудности: Ответы

1148. Докажите, что графиком уравнения ху - 2х + 3у - 6 = 0 является пара пересекающихся прямых.

1149. Докажите, что графиком уравнения (у - 2)(у + 3) = 0 является пара параллельных прямых.

1150. Постройте график уравнения:

    а) ху + 3x = 0;
    б) (x - у)(у - 5) = 0;
    в) (ху - 6) (у - 3) = 0;

    г) (х - у)2 + (х - 1)2 = 0;
    д) х2 - 4 = 0;
    е) у2 - 9 = 0.

1151. Докажите, что если числа а, b и с таковы, что а + b ≠ 0, b + с ≠ 0, с + а ≠ 0, то при

верно равенство

    (1 + х)(1 + y)( 1 + z) = (1 - x)(1 - у)(1 - z).

1152. На плоскости отмечено несколько точек, никакие три из которых не лежат на одной прямой. Через каждые две точки проведена прямая. Сколько точек отмечено на плоскости, если известно, что всего проведено 45 прямых?

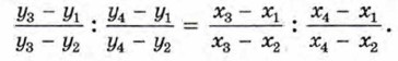
1153. Докажите тождество

Ответы

    1106.

    1107. х = 2, у = 1, z = 3, u = -1, υ = -2.

    1109.

    1110. Цифрой 2.

    1111. х = 1, у = 2.

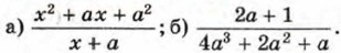
    1112.

    1113. 12, 18, 24, 27, 36, 45, 48.

    1114. Указание. Докажите, что сумма этих дробей больше 1, но меньше 3, т. е. равна 2.

    1115. -7, -6, -3, 2, 4, 9, 12, 13.

    1116. 0, 2, 4.

    1117. (х2 + х + 1)(х2 - х + 1)(х2 + x√3 + 1)(х2 - х√3 + 1).

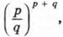
    1118. где р и q — целые числа, причём р ≠ 0, q ≠ 0, |р| ≠ 1, |q| ≠ 1.

    1120. х = 35, у = 34 или х = 13, у = 10.

    1122. Указание. Возведите обе части уравнения (х + y√2)(х - y√2) = 1 в n-ю степень (n ∈ N).

    1123. При m = -6.

    1124. х1 = а — 1, x2 = а + 1.

    1125. 5 при

    1126. р = -16 или р = 16.

    1127. При а = 2.

    1130. 160 км.

    1131. 10 м.

    1132. 60 ч.

    1133. 10 км.

    1134. 72 км.

    1135. 4,5 ч или 3,6 ч.

    1136. В 1,2 раза.

    1137. За 12 ч и 15 ч.

    1138. За 28 ч и 21 ч.

    1139. 41.

    1140. х1 = 18, х2 = 12, x3 = 15, х4 = 10 или х1 = -12, x2 = -18, х3 = -10, х4 = -15.

    1141. Через 2 ч.

    1152. 10 точек.

<<< К началу

 

 

???????@Mail.ru