Главная >> Алгебра. 8 класс. Макарычев

Исторические сведения

О дробях

Простейшими дробями пользовались ещё в древности (2 тыс. лет до н. э.). Так, древние вавилоняне имели специальные обозначения для дробей

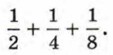
В Древнем Египте пользовались единичными дробями, т. е. дробями вида где n — натуральное число. Если в результате измерения получалось число то его записывали в виде суммы единичных дробей:

Такой способ представления дробей был удобен в практическом отношении. Например, при решении задачи «Разделить 7 хлебов поровну между восемью лицами» этот способ подсказывал, что нужно иметь 8 половинок, 8 четвертинок и 8 осьмушек, т. е. 4 хлеба нужно разрезать пополам, 2 хлеба — на четвертушки и один хлеб — на осьмушки и распределить доли между лицами.

Одновременно с единичными дробями появились и систематические дроби, т. е. дроби, у которых числителями могут быть любые числа, а знаменателями — степени определённого числа (например, десяти, двенадцати, шестидесяти). Шестидесятеричные дроби использовались вплоть до XVII в. До сих пор единицы времени выражаются в шестидесятеричной системе:

Систематическими дробями являются и десятичные дроби.

Дроби общего вида, у которых числители и знаменатели могут быть любыми натуральными числами, появляются в некоторых сочинениях древнегреческого учёного Архимеда (287—212 гг. до н. э.). Древние греки практически умели производить все действия над обыкновенными дробями. Однако современной записи дробей с помощью черты не было. Такая запись дроби была введена лишь в 1202 г. итальянским математиком Л. Фибоначчи (1180—1240) в его произведении «Книга абака». До этого дроби выражали словесно, применяли особую запись, в которой около числа, обозначающего знаменатель дроби, справа ставился штрих, использовались и другие способы записи. Долгое время дроби не называли числами. Иногда их называли «ломаными числами». Только в XVIII в. дроби стали воспринимать как числа. Этому способствовал выход в 1707 г. книги английского учёного И. Ньютона (1643—1727) «Всеобщая арифметика», в которой дроби не только признаются равноправными числами, но и происходит расширение понятия дроби как частного от деления одного выражения на другое. В этой книге, в частности, говорится:

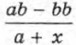
    «Запись одной из двух величин под другой, ниже которой между ними проведена черта, обозначает частное или же величину, возникающую при делении верхней величины на нижнюю. Так, означает величину, возникающую при делении 6 на 2..., — величину, возникающую при делении 5 на 8..., есть величина, возникающая при делении а на b..., означает величину, получающуюся при делении ab - bb на а + х, и т. д. Величины такого рода называются дробями».

 

 

???????@Mail.ru