Главная >> Алгебра. 8 класс. Макарычев

§ 3. Произведение и частное дробей

Преобразование рациональных выражений (окончание)

161. Докажите, что при всех допустимых значениях переменных значение выражения не зависит от значений входящих в него переменных:

162. Докажите, что при любом натуральном n значение выражения является натуральным числом.

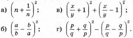
163. Представьте в виде многочлена или рациональной дроби:

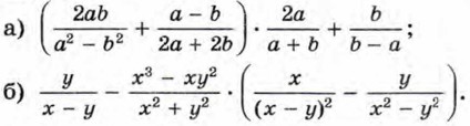
164. Упростите выражение:

165. Представьте в виде отношения многочленов дробь:

166. Выполните подстановку и упростите полученное выражение:

167. Выполните подстановку и упростите полученное выражение:

168. Найдите значение выражения:

    1) Обсудите, о каких значениях переменной х в заданиях а) и б) можно сказать сразу, что они не являются допустимыми. Что надо сделать, чтобы найти другие значения х, которые не являются допустимыми?
    2) Распределите, кто выполняет задание а), а кто — задание б), и выполните их.
    3) Проверьте друг у друга, правильно ли выполнены преобразования. Исправьте замеченные ошибки.

169. (Для работы в парах.) При каких значениях х имеет смысл выражение:

170. Найдите среднее гармоническое чисел:

    а) 3, 5; б) 2, 4, 8; в) 5, 10, 15, 20.

171. Из пункта А в пункт В автобус ехал со скоростью 90 км/ч. На обратном пути из-за непогоды он снизил скорость до 60 км/ч. Какова средняя скорость автобуса на всём пути следования?

172. Мастер может выполнить заказ на изготовление деталей за 4 ч, а его ученик — за 6 ч. За какое время они смогут выполнить два заказа, работая совместно?

173. Готовясь к соревнованиям, школьник трижды прошёл на лыжах одну и ту же дистанцию: сначала со скоростью 9 км/ч, затем со скоростью 12 км/ч и, наконец, со скоростью 10 км/ч. Какова была средняя скорость школьника на всём пути?

<<< К началу          Ответы >>>

 

 

???????@Mail.ru