Главная >> Алгебра. 8 класс. Макарычев

§ 3. Произведение и частное дробей

Преобразование рациональных выражений: Ответы

Упражнения для повторения

174. Найдите координаты точек пересечения с осью х и осью у графика функции: б) у = -0,4x + 2. Постройте график этой функции.

175. Напишите уравнение прямой: а) проходящей через точку (0; 4) и параллельной прямой у = 3x; б) проходящей через начало координат и параллельной прямой

176. Изобразите схематически график функции, заданной формулой вида у = kx + b, если:

    а) k > 0, b > 0;
    б) k < 0, b > 0;

    в) k < 0, b < 0;
    г) k = 0, b > 0.

177. Одна сторона прямоугольника на 20 см больше другой. Если меньшую сторону увеличить вдвое, а большую — втрое, то периметр нового прямоугольника окажется равным 240 см. Найдите стороны данного прямоугольника.

178. Скорый и пассажирский поезда идут навстречу друг другу с двух станций, расстояние между которыми 710 км. Скорый поезд вышел на час раньше пассажирского и идёт со скоростью 110 км/ч. Через сколько часов после своего отправления он встретится с пассажирским поездом, если скорость пассажирского поезда равна 90 км/ч?

Ответы

    148. г) 0.

    149. б) в) -а; г) x.

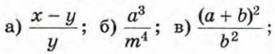
    150.

    151. а) 6; б) 10.

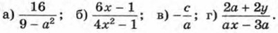
    152.

    153. б) 1,5x; г) y - 5.

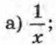
    154. a) 1; б) а; в) х2 + 1; г) -m.

    155. а) 2х2 + 2ху;

    156.

    157. При a = 1; 36.

    158. При 6 = 0;

    163. г) 4.

    164.

    165.

    166.

    167. б) а+ 6.

    168. а) 3; б)-1.

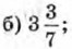
    170. а) 3,75; в) 9,6.

    171. 72 км/ч.

    172.4,8 ч.

    173. ≈10,2 км/ч.

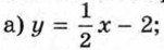
    175. а) y = 3х + 4;

    177. 12 см и 32 см.

<<< К началу

 

 

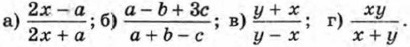
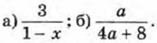
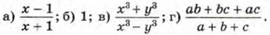
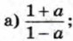
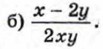
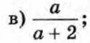
???????@Mail.ru