Главная >> Алгебра. 8 класс. Макарычев

§ 3. Произведение и частное дробей

Функция и её график

Пусть площадь прямоугольника, длина которого х см, а ширина у см, равна 24 см2. Тогда зависимость у от х выражается формулой

В этой задаче переменные хну принимали лишь положительные значения. В дальнейшем мы будем рассматривать функции, задаваемые формулой вида , в которой переменные х и у могут принимать как положительные, так и отрицательные значения, причём к k ≠ 0. Такие функции называют обратными пропорциональностями.

Определение. Обратной пропорциональностью называется функция, которую можно задать формулой вида , где х — независимая переменная и k — не нулю число.

Областью определения функции является множество всех чисел, отличных от нуля. Это следует из того, что выражение имеет смысл при всех х ≠ 0.

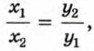
Рассмотрим свойство обратной пропорциональности. Пусть x1 и х2 — значения аргумента (x1 ≠ 0, х2 ≠ 0), а y1 и у2 — соответствующие им значения функции. Так как k ≠ 0, то у1 ≠ 0 и у2 ≠ 0. Из формулы следует, что x1y1 = k и х2у2 = k, и потому верна пропорция т. е. отношение двух произвольных значений аргумента равно обратному отношению соответствующих значений функции. С этим связано название функции — обратная пропорциональность.

В повседневной жизни мы часто встречаемся со случаями, когда зависимость между переменными является обратной пропорциональностью.

Приведём примеры.

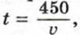
Пример 1. Время t (ч), которое автомобиль, двигаясь со скоростью υ км/ч, затрачивает на путь, равный 450 км, вычисляется по формуле т. е. зависимость t от υ является обратной пропорциональностью.

Пример 2. Масса m (кг) муки, которую можно купить на 85 р. по цене р р. за килограмм, вычисляется по формуле т. е. зависимость m от р является обратной пропорциональностью.

Построим график функции Для этого найдём значения у, соответствующие некоторым положительным значениям и противоположным им отрицательным значениям х:

Отметим в координатной плоскости точки, координаты которых помещены в таблице (рис. 3).

Выясним некоторые особенности графика функции Так как число нуль не входит в область определения функции, то на графике нет точки с абсциссой 0, т. е. график не пересекает ось у. Так как ни при каком х значение у не равно нулю, то график не пересекает ось х. Положительным значениям х соответствуют положительные значения у. Чем больше положительное значение х, тем меньше соответствующее значение у. Например,

    если х = 10, то у = 1,2;
    если х = 100, то у = 0,12;
    если х = 1000, то у = 0,012.

Значит, чем больше положительная абсцисса точки графика, тем ближе эта точка к оси абсцисс. Для достаточно больших значений х это расстояние может стать как угодно малым. Чем ближе положительная абсцисса точки графика к нулю, тем больше ордината этой точки. Например,

    если х = 0,03, то у = 400;
    если х= 0,0001, то у = 120 000.

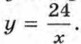
График функции показан на рисунке 4. Он состоит из двух ветвей, симметричных относительно начала координат. Одна из этих ветвей расположена в первой координатной четверти, а другая — в третьей. Такой же вид имеет график функции при любом k > 0.

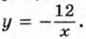
На рисунке 5 построен график функции Он так же, как и график функции , представляет собой кривую, состоящую из двух ветвей, симметричных относительна начала координат. Однако в отличие от графика функции одна из них лежит во второй, а другая — в четвёртой координатной четверти.

График функции при любом k < 0 имеет такой же вид, что и график функции

Кривую, являющуюся графиком обратной пропорциональности, называют гиперболой. Гипербола состоит из двух ветвей

Продолжение >>>

 

 

???????@Mail.ru