Главная >> Алгебра. 8 класс. Макарычев

§ 3. Произведение и частное дробей

Дополнительные упражнения к параграфу 3

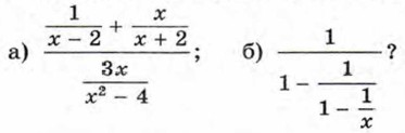
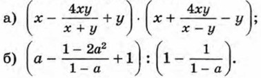
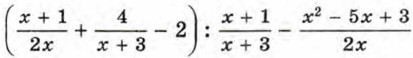
239. Упростите выражение:

240. Докажите, что если m ≠ n, m ≠ 0 и n ≠ 0, то значение выражения не зависит от значении переменных.

241. Докажите, что при любом целом а и дробном х значение выражения

является четным числом.

242. Докажите, что при любом значении х, большем 2, значение выражения

является отрицательным числом.

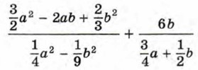
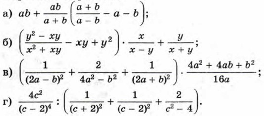
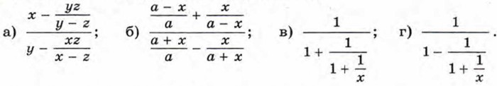
243. Упростите выражение:

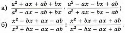
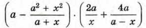
244. Упростите выражение:

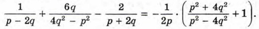
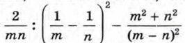
245. Докажите тождество

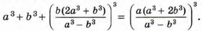
246. Одно из тождеств, приведённых знаменитым математиком XVIII в. Л. Эйлером, выглядит так:

Докажите его.

247. Докажите, что при всех допустимых значениях переменных значение выражения

не зависит от а и b.

248. Представьте в виде рациональной дроби:

249. При каких значениях х имеет смысл выражение:

250. Три вязальщицы получили одинаковые заказы на изготовление салфеток. Первая из них может выполнить заказ за 8 ч, вторая — за 9 ч, а их ученица — за 12 ч. Они объединили заказы и стали выполнять их совместно. Через сколько часов работа была закончена?

251. Автомобиль проехал от пункта А до пункта В. До пункта С, находящегося в середине пути, он ехал со скоростью 60 км/ч, а далее из С в В — со скоростью 80 км/ч. Найдите среднюю скорость автомобиля на всём пути следования.

Ответы >>>

 

 

???????@Mail.ru