Главная >> Алгебра. 8 класс. Макарычев

§ 3. Произведение и частное дробей

Дополнительные упражнения к параграфу 3: Ответы

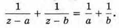
252. Докажите, что если z является средним гармоническим положительных чисел а и b, причём а ≠ b, то верно равенство

253. Известно, что точка Р(-9; 18) принадлежит графику функции, заданной формулой вида Найдите значение k.

254. Принадлежит ли графику функции точка:

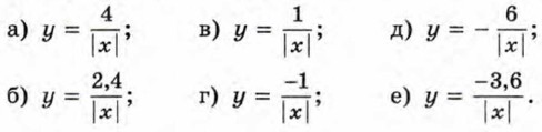
255. Известно, что график функции проходит через точку А (10; 2,4). Проходит ли график этой функции через точку:

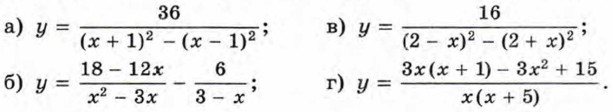
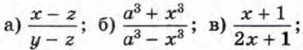
256. Найдите область определения функции и постройте её график:

257. Постройте график функции:

258. Докажите, что функция, заданная формулой является обратной пропорциональностью, и укажите коэффициент обратной пропорциональности.

259. Изобразите схематически график функции:

260. При каких значениях k и b гипербола и прямая у = kx + b проходят через точку:

    а) Р(2; 1); б) Q(-2; 3); в) R(-1; 1)?

261. Могут ли графики функций и у = ах + b пересекаться:

    а) только в одной точке;
    б) только в двух точках;
    в) в трёх точках?

262. Могут ли графики функций и у = ах + b пересекаться в двух точках, лежащих:

    а) в одной четверти;
    б) в первой и второй четвертях;
    в) в первой и третьей четвертях?

Ответы

    239.

    243.

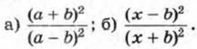
    244. а) х2- у2- б) -а.

    248. г) х + 1.

    250. ≈9,4 ч.

    251. ≈68,6 км/ч.

<<< К началу

 

 

???????@Mail.ru