Главная >> Алгебра 9 класс. Макарычев

Для тех, кто хочет знать больше

Степень с рациональным показателем (окончание)

Упражнения

190. Представьте степень с дробным показателем в виде корня:

191. Представьте арифметический корень в виде степени с дробным показателем:

192. Найдите значение выражения:

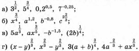
193. Представьте в виде степени с рациональным показателем:

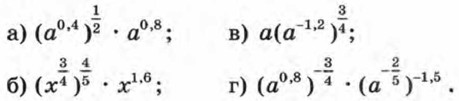
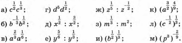
194. Упростите выражение:

195. Вычислите:

196. Представьте:

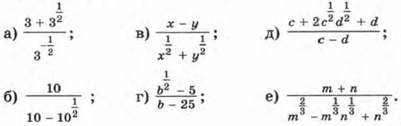
197. Сократите дробь:

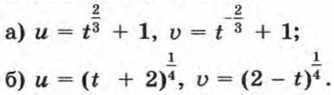
198. Напишите формулу, выражающую зависимость между переменными u и υ, если:

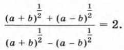
199. Докажите, что если и а > 0, то верно равенство:

<<< К началу

 

 

???????@Mail.ru