Главная >> Алгебра 9 класс. Макарычев

Для тех, кто хочет знать больше

Степень с рациональным показателем

В п.9 говорилось, что выражение где а > 0 и n — натуральное число, обозначает . Теперь рассмотрим какой смысл имеет выражение где а — положительное число, — дробное число.

Определение. Если а — положительное число, — дробное число (m — целое, n — натуральное), то

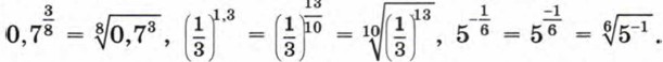
По определению имеем:

Степень с основанием, равным нулю, определяется только для положительного дробного показателя:

если — дробное положительное число (m и n — натуральные), то

Для отрицательных оснований степень с дробным показателем не рассматривается. Такие выражения, как не имеют смысла.

Известные нам свойства степени с целым показателем справедливы и для степени с любым рациональным показателем. С их доказательством вы ознакомитесь в старших классах. Перечислим эти свойства.

Для любого а > 0 и любых рациональных чисел р и q:

Для любых а > 0 и b > 0 и любого рационального числа р:

Рассмотрим примеры, в которых используются тождественные преобразования выражений, содержащих степени с дробными показателями.

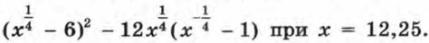
Пример 1. Найдем значение выражения

Предварительно упростим это выражение:

Подставим в выражение данное значение х и выполним вычисления:

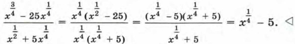
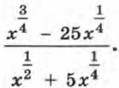
Пример 2. Сократим дробь

Разложим на множители числитель и знаменатель дроби. Получим:

Окончание >>>

 

 

???????@Mail.ru