Главная >> Алгебра 9 класс. Макарычев

§ 5. Уравнения с одной переменной

Целое уравнение и его корни (окончание)

Пример 3. Решим биквадратное уравнение

    4 - 10х2 + 1 = 0.

Введем новую переменную, обозначив х2 через у:

    х2 = у.

Получим квадратное уравнение с переменной у:

    2 - 10у + 1 = 0.

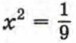
Решив его, найдем, что

Значит,

Из уравнения находим, что

Из уравнения х2 = 1 находим, что

    х3 = -1, х4 = 1.

Итак, исходное биквадратное уравнение имеет четыре корня:


ЭВАРИСТ ГАЛУА

ЭВАРИСТ ГАЛУА (1811—1832) — французский математик. Заложил основы современной алгебры, ввел ряд фундаментальных ее понятий. Нашел необходимое и достаточное условие, которому удовлетворяет алгебраическое уравнение, разрешимое в радикалах.


Упражнения

265. Какова степень уравнения:

266. Решите уравнение:

267. Решите уравнение:

268. Докажите, что уравнение 5х6 + 6х4 + х2 + 4 = 0 не имеет корней.

269. Может ли отрицательное число быть корнем уравнения 12х5 + 7х3 + 11х - 3 = 121?

270. Если ребро куба увеличить на 3 см, то его объем увеличится на 513 см3. Чему равно ребро куба?

271. Первое число на 5 больше второго, а его куб на 3185 больше куба второго. Найдите эти числа.

    а) у3 - 6у = 0;
    б) 6х4 + 3,6х2 = 0;
    в) х3 + 3х = 3,5х2;
    г) х3 - 0,1х = 0,3х2;

    д) 9х3 - 18х2 - х + 2 = 0;
    е) у4 - у3 - 16у2 + 16у = 0;
    ж) р3 - р2 = р - 1;
    з) х4 - х2 = 3х3 - 3х.

273. Решите уравнение:

    а) 0,7х4 - х3 = 0;
    б) 0,5х3 - 72х = 0;
    в) х3 + 4х = 5х2;

    г) 3х3 - х2 + 18х - 6 = 0;
    д) 2х4 - 18х2 = 5х3 - 45х;
    е) 3у2 - 2у = 2у3 - 3.

274. Решите уравнение:

    а) х3 + 7х2 -6 = 0; б) х3 + 4х2 - 5 = 0.

275. Найдите координаты точек пересечения графика функции у = х3 - 6х2 + 11х - 6 с осями координат.

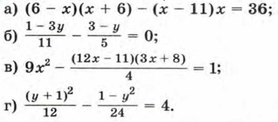
276. Решите уравнение, используя введение новой переменной:

    а) (2х2 + 3)2 - 12(2х2 + 3) + 11 = 0;
    б) (t2 - 2t)2 - 3 = 2(t2 - 2t);
    в) (x2 + x - 1)(x2 + x + 2) = 40;
    г) (2x2 + x - 1)(2x2 + x - 4) + 2 = 0.

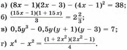
277. Решите уравнение:

    а) (x2 + 3)2 - 11(x2 + 3) + 28 = 0;
    б) (x2 - 4x)2 + 9(x2 - 4x) + 20 = 0;
    в) (x2 + x)(x2 + x - 5) = 84.

278. Решите биквадратное уравнение:

    а) x4 - 5x2 - 36 = 0;
    б) y4 - 6y2 + 8 = 0;
    в) t4 + 10t2 + 25 = 0;

    г) 4x4 - 5x2 +1 = 0;
    д) 9x4 - 9x2 + 2 = 0;
    e) 16y4 - 8y2 + 1 = 0.

279. Найдите корни биквадратного уравнения:

    а) х4 - 25х2 + 144 = 0;
    б) у4 + 14у2 + 48 = 0;
    в) х4 - 4х2 + 4 = 0;

    г) t4 - 2t2 -3 = 0;
    д) 2х4 - 9х2 + 4 = 0;
    е) 5у4 - bу2 + 2 = 0.

<<< К началу          Ответы >>>

 

 

???????@Mail.ru