Главная >> Алгебра 9 класс. Макарычев

§ 5. Уравнения с одной переменной

Целое уравнение и его корни (ответы)

280. Найдите координаты точек пересечения с осями координат графика функции:

    а) у = х4 - 5х2 + 4;
    б) у = х4 + 3х2 - 10;

    в) у = х4 - 20х2 + 100;
    г) у = 4х4 + 16х2

281. Разложите на множители трехчлен:

    а) х4 - 47х2 - 98; б) х4 - 85х2 + 1764.

282. Решите уравнение:

    а) (х2 - 1)(х2 + 1) - 4(х2 - 11) = 0;
    б) 3х2(х - 1)(х + 1) - 10х2 + 4 = 0.

283. Решите уравнение:

    а) х5 + х4 - 6х3 - 6х2 + 5х + 5 = 0;
    б) х5 - х4 - 2х3 + 2х2 - 3х + 3 = 0.

284. Найдите корни уравнения:

    а) y7 - y6 + 8y = 8; б) u7 - u6 = 64u - 64.

Повторение

285. Разложите на множители квадратный трехчлен:

    а) 3x2 - 25x - 28; б) 2х2 + 13x - 7.

286. Решите неравенство:

    а) 13(5x - 1) - 15(4x + 2) < 0;
    б) 6(7 - 0,2x) - 5(8 - 0,4x) > 0.

287. Два сварщика, работая вместе, могут выполнить задание за 30 ч. За сколько часов сможет выполнить это задание каждый сварщик, если известно, что первому на выполнение всей работы потребуется времени на 11 ч больше, чем второму?

Ответы

    266. а) -2; б) -0,2; 0,2; в) -3,5; 2; г) -0,5; 0,5.

    267. а) 0; 5,5; б) -7;

    270. 6 см.

    271. 17 и 12 или -12 и -17.

    272. а) -√6; 0; √б; б) 0; в) 0; 1,5; 2; г) -0,2; 0; 0,5; д) 2; е) -4; 0; 1; 4; ж) -1; 1; з) -1; 0; 1; 3.

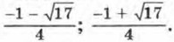
    274. а) -3 - √5; -1; -3 + √5- Указание. Представьте 7х2 в виде х2 + 6х2; б) -2,5 - √1,25; -2,5 + √1,25; 1

    275. (1; 0). (2; 0), (3; 0) и (0; -6). Указание. Представьте -6х2 в виде -х2 - 5х2.

    276. а) -2; 2; б) -1; 1; 3; в) -3; 2; г) —1,5; 1;

    277. а) -2; -1; 1; 2; б) 2; в) -4; 3.

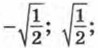
    278. а) -3; 3; б) -√2; √2; -2; 2; в) корней нет; г) -1; 1; д) е)

    279. а) -3; 3; -4; 4; б) корней нет; в) -√2; √2; г) -√3; √3; д) -2; 2; е) корней нет.

    280. а) (-2; 0), (2; 0), (-1; 0), (1; 0) и (0; 4); б) (-√2; 0), (√2; 0) и (0; -10); в) (-√10; 0), (√10; 0) и (0; 100); г) (0; 0).

    282. а) Корней нет; б) -2; 2.

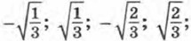
    283. а) -1; 1; -√б; √б; б) 1; -√3; √3.

    284. а) 1; б) -2; 1; 2.

    286. а) (-∞; 8,6); б) (-2,5; +∞)

    287. За 66 ч и 55 ч.

<<< К началу

 

 

???????@Mail.ru