Главная >> Алгебра 9 класс. Макарычев

§ 6. Неравенства с одной переменной

Решение неравенств второй степени с одной переменной (продолжение)

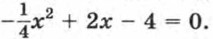
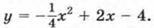
Пример 3. Решим неравенство

Рассмотрим функцию

Ее графиком является парабола, ветви которой направлены вниз.

Выясним, как расположен график относительно оси х. Решим для этого уравнение

Это уравнение имеет единственный корень х = 4. Значит, парабола касается оси х.

Изобразив схематически параболу (рис. 53), найдем, что функция принимает отрицательные значения при любом х, кроме 4.

Ответ можно записать так: х — любое число, не равное 4.

Пример 4. Решим неравенство х2 - 3х + 4 > 0.

Графиком функции у = х2 - Зх + 4 является парабола, ветви которой направлены вверх.

Чтобы выяснить, как расположена парабола относительно оси х, решим уравнение х2 - 3х + 4 = 0. Находим, что D = - 7 < 0, т. е. это уравнение не имеет корней. Значит, парабола не имеет общих точек с осью х.

Показав схематически расположение параболы в координатной плоскости (рис. 54), найдем, что функция принимает положительные значения при любом х.

Ответ: х — любое число.

Итак, для решения неравенств вида

    ах2 + bх + с > 0 и ах2 + bх + с < 0

поступают следующим образом:

1) находят дискриминант квадратного трехчлена ах2 + bх + с и выясняют, имеет ли трехчлен корни;

2) если трехчлен имеет корни, то отмечают их на оси х и через отмеченные точки проводят схематически параболу, ветви которой направлены вверх при а > 0 или вниз при а < 0; если трехчлен не имеет корней, то схематически изображают параболу, расположенную в верхней полуплоскости при а > 0 или в нижней при а < 0;

3) находят на оси х промежутки, для которых точки параболы расположены выше оси х (если решают неравенство ах2 + bх + с > 0) или ниже оси х (если решают неравенство ах2 + bх + с < 0).

Упражнения

304. Решите неравенство:

    а) х2 + 2х - 48 < 0;
    б) 2х2 - 7х + 6 > 0;
    в) -х2 + 2х + 15 < 0;
    г) -5х2 +11x — 6 > 0;

    д) 4x2 - 12x + 9 > 0;
    е) 25x2 + 30х + 9 < 0;
    ж) -10x2 + 9х > 0;
    з) -2x2 + 7х < 0.

305. Найдите множество решений неравенства:

    а) 2x2 + 3х - 5 ≥ 0; б) -6x2 + 6х + 36 ≥ 0; в) -x2 + 5 ≤ 0.

306. Решите неравенство:

    а) 2x2 + 13х - 7 > 0;
    б) -9x2 + 12x - 4 < 0;
    в) 6x2 - 13x + 5 ≤ 0;

    г) -2x2 - 5х + 18 ≤ 0;
    д) 3x2 - 2х > 0;
    е) 8 - x2 < 0.

<<< К началу          Окончание >>>

 

 

???????@Mail.ru