Главная >> Алгебра 9 класс. Макарычев

§ 6. Неравенства с одной переменной

Решение неравенств второй степени с одной переменной (окончание)

307. Найдите, при каких значениях х трехчлен:

    а) 2x2 + 5х + 3 принимает положительные значения;

    б) принимает отрицательные значения.

308. Решите неравенство:

    а) х2 < 16;
    б) х2 ≥ 3;
    в) 0,2x2 > 1,8;

    г) -5x2 ≤ х;
    д) 3x2 < -2л:;
    е) 7х < х2.

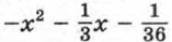
309. Решите неравенство:

310. При каких значениях b уравнение имеет два корня:

    а) 3x2 + bх + 3 = 0; б) х2 + 2bх + 15 = 0?

311. При каких значениях t уравнение не имеет корней:

    а) 2х2 + tx + 18 = 0; б) 4х2 + 4tx + 9 = 0?

312. Найдите множество решений неравенства:

    а) 3х2 + 40x + 10 < -х2 + 11х + 3;
    б) 9х2 - х + 9 ≥ 3х2 + 18х - 6;
    в) 2х2 + 8х - 111 < (3х - 5)(2х + 6);
    г) (5х + 1)(3х - 1) > (4х - 1)(х + 2).

313. Решите неравенство:

    а) 2х(3х - 1) > 4х2 + 5х + 9;
    б) (5х + 7)(х - 2) < 21х2 - 11х - 13.

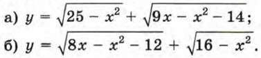
314. Найдите область определения функции:

315. Докажите, что при любом значении переменной верно неравенство:

    а) 7х2 - 10x + 7 > 0;
    б) -6y2 + 11 у - 10 < 0;
    в) 4x2 + 12x + 9 ≥ 0;


    д) -9у2 + 6y - 1 ≤ 0;
    е) -5x2 + 8x - 5 < 0.

316. Какое из данных выражений принимает положительное значение при любом значении у?

    1. (у - 2)(у - 3) - 4
    3. (5 - у)(1 - у) + 10

    2. (5 - у)(1 - у) + 4
    4. (у - 8)(у - 7) - 60

    317. Докажите, что:

    а) x2 + 7х + 1 > -x2 + 10x - 1 при любом х;
    б) -2x2 + 10x < 18 - 2x при х ≠ 3.

318. Одна сторона прямоугольника на 7 см больше другой. Какой может быть меньшая сторона, если площадь прямоугольника не превосходит 60 см2?

319. Длина прямоугольника на 5 см больше ширины. Какую ширину должен иметь прямоугольник, чтобы его площадь была больше 36 см2?

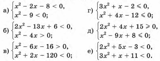
320. Решите систему неравенств:

321. Укажите все целые значения х, принадлежащие области определения функции:

<<< К началу          Ответы >>>

 

 

???????@Mail.ru