Главная >> Алгебра 9 класс. Макарычев

Для тех, кто хочет знать больше

Некоторые приемы решения систем уравнений второй степени с двумя переменными (продолжение)

Пример 3. Решим систему

Левая часть первого уравнения системы — однородный многочлен, т. е. многочлен, каждый член которого имеет одну и ту же степень.

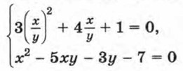
Разделим обе части первого уравнения на у2, предполагая, что у * 0. Получим квадратное относительно уравнение При этом мы потеряем решение (0; 0) первого уравнения системы. Но так как пара (0; 0) не является решением второго уравнения, то система

является равносильной исходной системе.

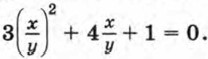
Обозначив буквой t, получим уравнение 3t2 + 4t + 1 = 0. Решив его, найдем, что t1 = -1, т. е. или

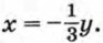
Отсюда х = -у или

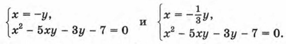
Таким образом, решение исходной системы можно свести к решению совокупности двух систем:

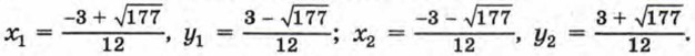
Решив первую систему, найдем, что

Решив вторую систему, найдем, что

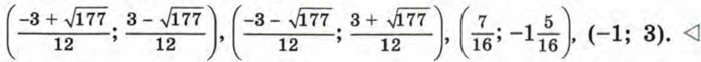
Решения исходной системы:

Пример 4. Решим систему

Уравнения в этой системе содержат сумму переменных х + у, произведение ху и сумму квадратов х2 + у2. Если в этой системе заменить х на у, а у на х, то получим ту же систему. Такие системы называют симметрическими системами. Их удобно решать, вводя новые переменные.

Пусть х + у = u, ху = υ. Тогда х2 + у2 = (х + у)2 - 2ху = u2 - 2υ.

В результате получим систему

Решив эту систему способом подстановки, найдем, что u1 = -2, υ1 = 7, u2 = 3, υ2 = 2. Выполнив обратную замену, получим совокупность систем

Первая система не имеет решений. Вторая имеет решения (1; 2) и (2; 1).

Решения исходной системы: (1; 2), (2; 1).

<<< К началу          Ответы >>>

 

 

???????@Mail.ru