Главная >> Алгебра 9 класс. Макарычев

Для тех, кто хочет знать больше

Некоторые приемы решения систем уравнений второй степени с двумя переменными (ответы)

Упражнения

507. Решите систему уравнений

508. Решите систему уравнений:

509. Найдите все решения системы уравнений:

510. Решите систему уравнений:

511. Найдите все решения системы уравнений:

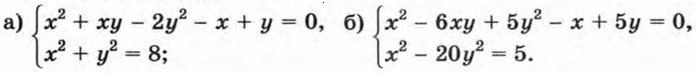
512. Решите систему уравнений:

513. Решите систему уравнений:

514. Найдите множество решений системы:

515. Решите систему уравнений:

Ответы

507. а) (-4; -2), (4; 2), (1,5√б; -0,5√б), (-1,5√6; 0,5√6); б) (-3; -1), (3; 1), (1; 3).

508. а) (-2, -2), (2, 2), б) ( -5; -1), (5; 1).

509. а) (-2; -3), (2; 3); б) (0; 0), (-1; 0,4).

510. а) (0; 0), (1,5; 0,75); б) (-9; 3),

511. а) (-4; -3), (4; 3); б) (-2; 5), (2; -5), (-5; -2), (5; 2).

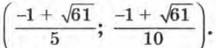
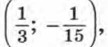
512. а) (-2; -1), (2; 1); б) (-1,75; 2,25), (1,75; -2,25).

513. а) (-3; -4), (-4; -3), (3; 4), (4; 3); б) (5; 1), (1; 5).

514. а) (1; 2), (2; 1); б) (-2; -3), (-3; -2), (2 - √7; 2 + √7), (2 + √7; 2 - √7).

515. а) (4; -1), (-4; 1), (0,5; -8), (-0,5; 8); б) (2; -1), (-2; 1),

<<< К началу

 

 

???????@Mail.ru