Главная >> Алгебра 9 класс. Макарычев

Дополнительные упражнения к главе III

Дополнительные упражнения к параграфу 7

516. Докажите, что уравнение не имеет решений:

    а) х2 + 4ху + 4у2 + 5 = 0;
    б) х2 - 2ху + 8 + у2 = 0;

    в) х2 - 2х + у2 - 4у + 6 = 0;
    г) х2у2 - 2ху + 3 = 0.

517. Докажите, что уравнение имеет единственное решение:

    а) х2 + у2 + 2х + 1 = 0; б) х2 - 2х + у2 + 4у + 5 = 0.

518. Составьте уравнение, графиком которого является:

    а) пара прямых у = х + 5 и у = х - 5;
    б) окружность х2 + у2 = 4 и пара прямых у = -3 и у = 3;
    в) гипербола ху = 6 и окружность х2 + у2 = 1.

519. Постройте график уравнения:

    а) х2 + у2 - 2х - 4у + 5 = 0; б) у2 - х4 = 0.

520. Постройте график уравнения:

521. При каком значении а окружность (х - а)2 + (у - 3)2 = 16 проходит через точку:

    а) А(2; 3); б) В(7; -1); в) С(-2; 7); г) D(1; 5)?

522. Найдите целые решения уравнения:

    а) х22 = 5; б) х2 - у2 = 8.

523. Решите графически систему уравнений:

524. Изобразив схематически графики уравнений, определите, имеет ли решения система уравнений и сколько:

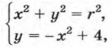
525. Сколько решений может иметь система уравнений

где r — положительное число?

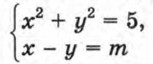
526. При каких значениях m система уравнений

имеет: а) одно решение; б) два решения?

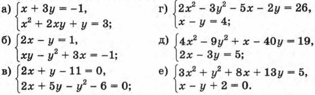
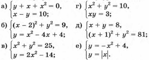
527. Решите систему уравнений:

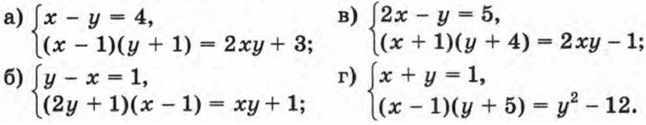
528. Найдите все решения системы уравнений:

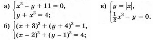
529. Решите систему уравнений:

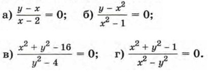
530. Решите систему уравнений:

Продолжение >>>

 

 

???????@Mail.ru