Главная >> Алгебра 9 класс. Макарычев

§ 10. Геометрическая прогрессия

Определение геометрической прогрессии. Формула n-го члена геометрической прогрессии (продолжение)

Пример 1. В геометрической прогрессии b1 = 12,8 и

Найдем b7.

По формуле n-го члена геометрической прогрессии

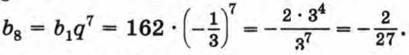
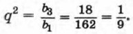
Пример 2. Найдем восьмой член геометрической прогрессии (bn), если b1 = 162 и b3 = 18.

Зная первый и третий члены геометрической прогрессии, можно найти ее знаменатель. Так как b3 = b1q2, то

Решив уравнение

найдем, что

Таким образом, существуют две прогрессии, удовлетворяющие условию задачи.

Если то

Если то

Задача имеет два решения:

Пример 3. Вкладчик положил в банк 5000 р. на счет, по которому сумма вклада ежегодно возрастает на 8%. Какая сумма будет у него на счету через 6 лет?

Начальная сумма вклада составляла 5000 р. Через год эта сумма возрастет на 8% и составит 108% от 5000 р., т. е. будет равна 5000 • 1,08 р. Через 2 года накопленная сумма составит (5000 • 1,08) • 1,08 р., т. е. 5000 • 1,082 р. Через 3 года на счету у вкладчика будет (5000 • 1,082) • 1,08 = 5000 • 1,083р. и т. д.

Таким образом, мы имеем дело с геометрической прогрессией

    5000, 5000 • 1,08, 5000 • 1,082, 5000 • 1,083, ... .

Сумма, накопленная на счету у вкладчика, через 6 лет будет равна седьмому члену этой прогрессии, т. е. составит 5000 • 1,086.

Выполнив вычисления, найдем, что

    5000 • 1,086 ≈ 7934.

(При выполнении вычислений удобно использовать калькулятор.) Значит, на счету у вкладчика через 6 лет окажется сумма, приближенно равная 7934 р.

В рассмотренном примере нам приходилось вычислять один и тот же процент от величины, найденной на предыдущем шаге. В таких случаях говорят, что мы имеем дело со сложными процентами.

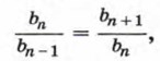
Геометрическая прогрессия обладает следующим свойством:

квадрат любого члена геометрической прогрессии, начиная со второго, равен произведению предыдущего и последующего ее членов.

Действительно, если последовательность (bn) является геометрической прогрессией, то

    bn = bn - 1g, bn + 1 = bnq.

Так как все члены геометрической прогрессии отличны от нуля, то отсюда следует, что

Верно и обратное утверждение:

если в последовательности чисел, отличных от нуля, квадрат каждого члена, начиная со второго, равен произведению предыдущего и последующего членов, то эта последовательность является геометрической прогрессией.

Докажите это самостоятельно.

Заметим, что из равенства выражающего свойство геометрической прогрессии, следует, что т. е. модуль любого члена геометрической прогрессии, начиная со второго, является средним геометрическим предыдущего и последующего членов.

<<< К началу          Окончание >>>

 

 

???????@Mail.ru