Главная >> Алгебра 9 класс. Макарычев

§ 10. Геометрическая прогрессия

Определение геометрической прогрессии. Формула n-го члена геометрической прогрессии (окончание)

Упражнения

623. Найдите первые пять членов геометрической прогрессии (bn), если:

624. Последовательность (сn) — геометрическая прогрессия, первый член которой равен с1, а знаменатель равен q. Выразите через с1 и q:

    а) с6; б) с20; в) с125; г) сk; д)сk + 3; е) с2k.

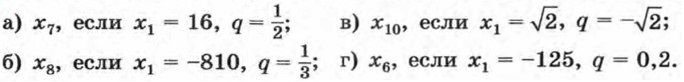
625. Последовательность (хn) — геометрическая прогрессия. Найдите:

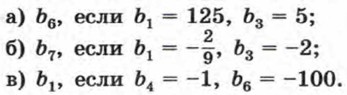
626. Последовательность (bn) — геометрическая прогрессия. Найдите:

627. Найдите седьмой и n-й члены геометрической прогрессии:

    а) 2; -6; ... ;
    б) -40; -20; ... ;

    в) -0,125; 0,25; ... ;
    г) —10; 10; ... .

628. Найдите шестой и n-й члены геометрической прогрессии:

    а) 48; 12; ... ;

    в) -0,001; -0,01; ... ;
    г) -100; 10; ... .

629. В треугольнике АВС (рис. 78) провели среднюю линию А1С1, в треугольнике А1ВС1 также провели среднюю линию А2С2, во вновь образовавшемся треугольнике А2ВС2 снова провели среднюю линию А3С3 и т. д. Найдите площадь треугольника А9ВС9, если А известно, что площадь треугольника АВС равна 768 см2.

630. Найдите первый член геометрической прогрессии (bn), если:

631. Найдите знаменатель геометрической прогрессии (сn), если:

    а) с5 = -6, с7 = -54; б) c6 = 25, с8 = 4.

632. Последовательность (хn) — геометрическая прогрессия. Найдите:

    а) х1, если х6 = 0,32, q = 0,2; б) q, если х3 = -162, х5 = —18.

633. Последовательность (bn) — геометрическая прогрессия. Найдите:

634. Между числами 2 и 162 вставьте такие три числа, которые вместе с данными числами образуют геометрическую прогрессию.

635. Геометрическая прогрессия (хn) состоит из четырех членов: 2, a, b, Найдите а и b.

636. Найдите шестой член геометрической прогрессии (bn), если известно, что b2 = 6, b4 = 24.

637. Ежегодный доход по вкладу «Юбилейный» составляет 9%. Каким станет этот вклад через 4 года, если первоначально он был равен 8000 р.?

638. Население города составляет 60 тысяч человек. За последние годы наблюдается ежегодный прирост населения на 2%. Каким будет население города через 5 лет, если эта тенденция сохранится?

639. На опытном участке леса ежегодный прирост древесины составляет 10%. Какое количество древесины будет на этом участке через 6 лет, если первоначальное количество древесины равно 2,0 • 104 м3?

<<< К началу          Ответы >>>

 

 

???????@Mail.ru