Главная >> Алгебра 9 класс. Макарычев

Дополнительные упражнения к главе IV

Дополнительные упражнения к параграфу 9

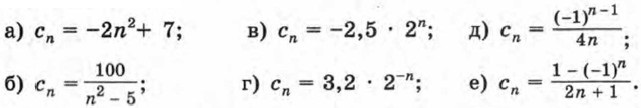
670. Вычислите первые пять членов последовательности (сn), заданной формулой:

671. Задайте формулой n-го члена последовательность (аn), если:

    а) (аn) — последовательность натуральных чисел, кратных 5;
    б) (аn) — последовательность натуральных чисел, которые при делении на 5 дают в остатке 1.

672. Вычислите первые несколько членов последовательности (уn), если:

    а) у1 = -3, уn + 1 - уn = 10;
    б) у1 = 10, yn + 1 • уn = 2,5;

    в) у1 = 1,5, уn + 1 - уn = n;
    г) у1 = -4, уn + 1 : уn = -n2.

673. Найдите члены арифметической прогрессии (аn), обозначенные буквами:

    a) a1; a2; -19; -11,5; a5; ... ; б) a1, -8,5, a3, -4,5, a5, a6, ... .

674. Периметр треугольника равен 24 см, причем длины его сторон образуют арифметическую прогрессию. Можно ли определить длину хотя бы одной из сторон? Какие целые значения могут принимать длины сторон треугольника, выраженные в сантиметрах?

675. Углы треугольника образуют арифметическую прогрессию. Докажите, что один из них равен 60°.

676. Последовательность (аn) — арифметическая прогрессия. Является ли арифметической прогрессией последовательность:

677. Последовательность (аn) — арифметическая прогрессия. Найдите:

678. Найдите номер члена арифметической прогрессии (аn):

    а) равного -2,94, если а1 = 1,26 и d = -0,3;
    б) равного -9,7, если а5 = -3,7 и d = -0,6.

679. Дана арифметическая прогрессия (bn), у которой и Является ли членом этой прогрессии число:

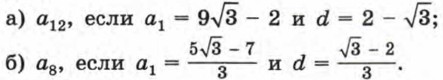
680. Найдите:

    а) первый положительный член арифметической прогрессии

    б) первый отрицательный член арифметической прогрессии

681. Докажите, что если (уn) — арифметическая прогрессия, то:

    а) y2 + y7 = y4 + y5; б) yn - 5 + yn + 10 = yn + yn + 5, где n > 5.

682. Докажите, что если d — разность арифметической прогрессии, а xm и xn — ее члены, причем m ≠ n, то

683. Дана арифметическая прогрессия (аn). Найдите:

    a) d, если а20 = 1,7 и а37 = 0; б) а100, если a10 = 270 и d = -3.

684. Найдите сумму первых десяти членов арифметической прогрессии:

685. Найдите сумму, слагаемыми которой являются последовательные члены арифметической прогрессии:

    а) 2 + 6 + 10 + ... + 198; б) 95 + 85 + 75 + ... + (-155).

Продолжение >>>

 

 

???????@Mail.ru