Главная >> Алгебра 9 класс. Макарычев

Дополнительные упражнения к главе IV

Дополнительные упражнения к параграфу 9 (продолжение)

686. На одной стороне угла от вершины отложены двенадцать равных отрезков и через их концы (кроме вершины угла) проведены параллельные прямые, пересекающие другую сторону угла. Найдите сумму длин всех параллельных отрезков, заключенных между сторонами угла, если длина наименьшего из них равна 3 см.

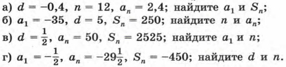
687. В арифметической прогрессии (аn):

688. Найдите разность арифметической прогрессии (xn) и ее первый член, если х10 = 1 и S16 = 4.

689. Найдите сумму:

    а) всех двузначных чисел; б) всех трехзначных чисел.

690. Найдите сумму:

    а) всех натуральных четных чисел, не превосходящих 200;
    б) всех натуральных нечетных чисел, не превосходящих 150;
    в) всех натуральных чисел, кратных 3, заключенных в промежутке от 100 до 200.

691. Какова сумма натуральных чисел:

    а) меньших 100 и не кратных 3;
    б) больших 50, но меньших 150 и не кратных 5?

692. Найдите натуральное число, которое:

    а) в 5 раз меньше суммы предшествующих ему натуральных чисел;
    б) равно сумме предшествующих ему натуральных чисел.

693. Члены арифметической прогрессии 2; 5; ... с четными номерами заменили противоположными им числами. В результате получили последовательность (xn). Напишите формулу n-го члена этой последовательности и найдите сумму первых пятидесяти ее членов.

694.Упростите выражение:

895. Найдите:

    а) сумму всех положительных членов арифметической прогрессии 8,2; 7,4; ... ;
    б) сумму всех отрицательных членов арифметической прогрессии —6,5; -6; ... .

696. Найдите сумму первых сорока членов арифметической прогрессии, если S10 = 100 и S30 = 900.

697. Найдите пятидесятый член арифметической прогрессии, если:

    a) S20 = 1000, S40 = 10 000; б) S5 = 0,5, S15 = -81.

698. Запишите формулу суммы первых л членов последовательности (аn), если:

    a) аn = 2n + 1; б) аn = 3 - n.

699. Является ли последовательность (хn) арифметической прогрессией, если сумму первых л ее членов можно найти по формуле Sn = n2 - 8n? Найдите пятый член этой последовательности.

700. Является ли последовательность (хn) арифметической прогрессией, если сумма первых л ее членов может быть найдена по формуле:

    а) Sn = -n2 + 3n;
    б) Sn = 2n2 - 1;

    в) Sn = n2 + 2n - 8;
    г) Sn = 6n + 5?

<<< К началу          Ответы >>>

 

 

???????@Mail.ru