Главная >> Алгебра 9 класс. Макарычев

Глава V

Дополнительные упражнения к параграфу 12 (ответы)

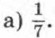
870. Одновременно подбрасывают три монеты. Какова вероятность того, что на всех трех монетах выпадет решка?

871. Чемодан можно открыть, если правильно набрать шифр 22 075 (при наборе шифра цифра каждого разряда может быть любой от 0 до 9). Какова вероятность того, что человек, набрав произвольно номер из 5 цифр, сможет открыть чемодан?

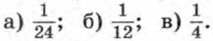
872. Бросают три игральных кубика. Какова вероятность того, что сумма выпавших на них очков будет равна:

    а) 3; б) 4; в) 5; г) 7?

873. Миша и Костя по очереди бросают три игральных кубика. Они договорились, что если при очередном броске выпадет 5 очков, то выигрывает Миша, а если выпадет 16 очков, то выигрывает Костя. У кого больше шансов выиграть?

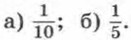
874. Игральный кубик бросают 3 раза подряд. Какова вероятность того, что каждый раз на нем выпадет число очков:

    а) кратное 2; б) кратное 3?

Ответы

    856. а) 0,4 > 0,2; б) 0,4 > 0,1.

    857.

    858.

    859.

    860. 0,81.

    861.

    862.

    863.

    864.

    865.

    866.

    867. 2.

    868.

    869. 0,26.

    870.

    871. 0,00001.

    872.

    873. Шансы одинаковы.

    874.

<<< К началу

 

 

???????@Mail.ru