Главная >> Алгебра 9 класс. Макарычев

Упражнения для повторения курса 7—9 классов

Вычисления

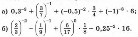
875. Найдите значение выражения:

876. Отмечая время (в минутах), которое учащиеся затратили на выполнение теста по математике, получили следующие данные: 18, 18, 19, 20, 23, 24, 24, 25, 25, 25. Для этого ряда данных найдите среднее арифметическое; моду; медиану; размах.

877. а) Телевизор стоил 10 000 р. В апреле он подорожал на 30%, а в декабре подешевел на 40%. Сколько стал стоить телевизор в декабре?

б) Цену товара повысили на 30%, а через некоторое время снизили на 40%. На сколько процентов изменилась первоначальная цена товара?

878. К 200 г 40%-ного раствора соли долили 300 г воды. Какой стала концентрация раствора соли?

879. а) Некоторое количество 15% -ного раствора соли смешали с таким же количеством 45%-ного раствора этой же соли. Какова концентрация получившегося раствора?

б) Некоторое количество 30%-ного раствора соли смешали с вдвое большим количеством 15%-ного раствора этой же соли. Какова концентрация получившегося раствора?

880. Имеется два сорта сливок — жирностью 10% и 20%. Их смешали в отношении 3:1. Какова жирность получившихся сливок?

881. а) Клиент банка внес 8000 р. на вклад с годовым доходом 5%. Какая сумма окажется у него на счету через 2 года, если он никаких сумм со счета не снимал и дополнительных вложений не делал?

б) Клиент банка внес 8000 р. на вклад с годовым доходом 5%. Через год он положил на этот же вклад еще 2000 р. Какая сумма будет у него на счету через 2 года после открытия счета в банке?

882. Упростите выражение:

883. Упростите выражение

884. Докажите, что:

885. Докажите равенство:

886. Найдите значение:

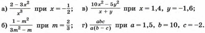
887. Найдите значение выражения:

Продолжение >>>

 

 

???????@Mail.ru