Главная >> Алгебра 9 класс. Макарычев

Упражнения для повторения курса 7—9 классов

Тождественные преобразования (продолжение)

914. Преобразуйте выражение:

915. а) Найдите значение выражения а2 + b2, если а + b = 6, аb = 3.

б) Найдите значение выражения если

916. Докажите, что:

    а) значение выражения а2 + 2а + 2 ни при каком значении не ременной а не может быть отрицательным;
    б) выражение 2х2 - 2ху + у2 при любых значениях х и у при нимает неотрицательные значения.

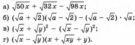
917. Упростите выражение:

918. Упростите выражение:

919. Вынесите множитель за знак корня:

920. Внесите множитель под знак корня:

    а) 10√3;
    б) 0,1√2;
    в)-3√5;

    г) -0,2√40 ;
    д) х√3, где x ≥ 0;
    е) у√5, где у < 0.

921. Упростите выражение:

922. Сократите дробь:

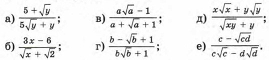
923. Освободитесь от иррациональности в знаменателе дроби:

924. Докажите, что:

<<< К началу          Ответы >>>

 

 

???????@Mail.ru