Главная >> Алгебра 9 класс. Макарычев

Упражнения для повторения курса 7—9 классов

Тождественные преобразования (ответы)

    903. а) 2; б) 15,1; в)-2; г)-1,5.

    908.

    909. а) 4;

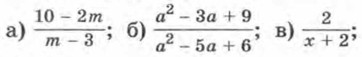
    910.

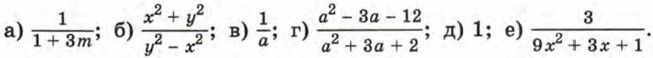
    911.

    912. г) 65с - 65.

    913. г) 2.

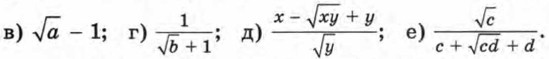
    914.

    915. а) 30; б) 4,25.

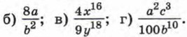
    917. а) 2х2у3;

    918. а) 9; в) 15; г) 2,5.

    921.

    922.

<<< К началу

 

 

???????@Mail.ru