Главная >> Алгебра 9 класс. Макарычев

Упражнения для повторения курса 7—9 классов

Уравнения и системы уравнений

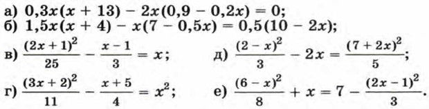
925. Решите уравнение:

926. От фермы до станции Петр может доехать на велосипеде или дойти пешком. Идет он со скоростью 6 км/ч, а на велосипеде едет со скоростью 16 км/ч. Каково расстояние от фермы до станции, если на велосипеде Петр тратит на этот путь на 40 мин меньше?

927. Расстояние от города А до города В поезд должен проходить по расписанию за 4 ч 30 мин. По техническим причинам он был задержан с отправлением из города А на 30 мин. Увеличив скорость на 10 км/ч, поезд прибыл в город В вовремя. Найдите расстояние между городами А и В.

928. Из пункта А в пункт В вышел пешеход, а через 30 мин из пункта В в пункт А выехал велосипедист. Скорость велосипедиста на 8 км/ч больше скорости пешехода. Велосипедист через 1,5 ч после выезда встретил пешехода. С какой скоростью шел пешеход и ехал велосипедист, если известно, что расстояние между пунктами А и В равно 26 км?

929. Среднее арифметическое четырех чисел равно 11,5. Второе число в 1,5 раза меньше первого и на 10 меньше третьего, а четвертое равно сумме первого и второго. Найдите эти числа.

930. Сколько нужно добавить воды к 300 г 20% -ного раствора соли, чтобы получить 8%-ный раствор этой соли?

931. Решите квадратное уравнение:

932. Существует ли значение переменной х, при котором значение квадратного трехчлена х2 - 10х + 31 равно: а) -5; б) 6; в) 55?

933. При каких значениях m уравнение имеет хотя бы один корень:

    а) 10х2 - 10х + m = 0;
    б) mх2 + 4х - 2 = 0;

    в) 3х2 + mх -5 = 0;
    г) 2х2 - mх + 2 = 0?

934. При каких значениях k уравнение не имеет корней:

    а) kx2 + 8х - 15 = 0;
    б) 6х2 - 3х + k = 0;

    в) 5х2 + kx + 1 = 0;
    г) 7х2 - kx - 1 = 0?

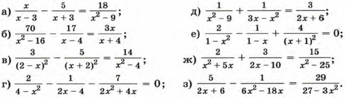
935. Решите уравнение:

936. Садовый участок, имеющий форму прямоугольника, требуется обнести изгородью. Определите длину изгороди, если известно, что длина участка на 15 м больше его ширины, а площадь его равна 700 м2.

937. Все ученики одного класса обменялись фотографиями. Сколько учеников было в этом классе, если всего было передано 600 фотокарточек?

938. Цифра десятков двузначного числа на 3 меньше цифры единиц, а произведение этого двузначного числа на сумму его цифр равно 70. Найдите это число.

939. Участок земли имеет форму прямоугольного треугольника, один из катетов которого на 20 м больше другого катета. Найдите длину границы данного участка, если известно, что его площадь равна 0,24 га.

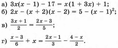
940. Решите уравнение:

941. Две бригады, работая вместе, выполняют работу за 6 ч. Одной первой бригаде на ту же работу требуется на 5 ч больше, чем второй. За какое время может выполнить всю работу каждая бригада, работая отдельно?

942. Две автомашины отправились одновременно из села в город, который удален на 180 км. Одна автомашина пришла в город на 45 мин позже другой, так как ее скорость была на 20 км/ч меньше. С какой скоростью шла каждая автомашина?

943. Моторная лодка прошла по течению реки 36 км и возвратилась обратно, затратив на весь путь 5 ч. Найдите скорость моторной лодки в стоячей воде, зная, что скорость течения равна 3 км/ч.

944. Моторная лодка прошла 18 км по течению и 14 км против течения, затратив на весь путь 3 ч 15 мин. Найдите скорость течения, если собственная скорость лодки 10 км/ч.

Продолжение >>>

 

 

???????@Mail.ru