Главная >> Алгебра 9 класс. Макарычев

§ 2. Квадратный трехчлен

Разложение квадратного трехчлена на множители (продолжение)

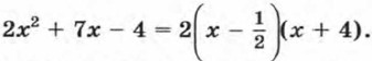
Пример 1. Разложим на множители квадратный трехчлен

    2 + 7х - 4.

Решив уравнение 2х2 + 7х - 4 = 0, найдем корни трехчлена:

По теореме о разложении квадратного трехчлена на множители имеем

Полученный результат можно записать иначе, умножив число 2 на двучлен Получим

    2 + 7х - 4 = (2х - 1)(х + 4).

Пример 2. Разложим на множители квадратный трехчлен

    -4x2 + 24х - 36.

Решив уравнение -4х2 + 24x - 36 = 0, найдем корни трехчлена: x1 = х2 = 3.

Значит,

    -4х2 + 24x - 36 = -4(х - 3)(х - 3),

или иначе

    -4x2 + 24х - 36 = -4(х - З)2.

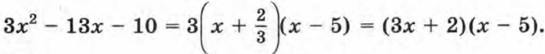
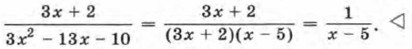
Пример 3. Сократим дробь

Разложим на множители квадратный трехчлен 3х2 - 13х - 10.

Его корни равны и 5. Поэтому

Значит,

Упражнения

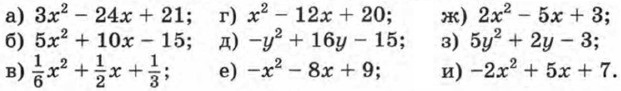
76. Разложите на множители квадратный трехчлен:

77. Разложите на множители трехчлен:

78. Разложите на множители квадратный трехчлен:

    а) 2х2 + 12х - 14;
    б) -m2 + 5m - 6;

    в) 3х2 + 5х - 2;
    г) 6х2 - 13х + 6.

79. Докажите тождество:

    а) 10х2 + 19х - 2 = 10(х - 0,1)(х + 2);
    б) 0,5(х - 6)(х - 5) = 0,5х2 - 5,5х + 15.

80. Можно ли представить квадратный трехчлен в виде произведения многочленов первой степени:

    а) -3у2 + Зу + 11;
    б) 4b2 - 9b + 7;

    в) х2 - 7х + 11;
    г) 3у2 - 12у + 12?

81. Можно ли разложить на множители квадратный трехчлен, коэффициенты которого — равные, отличные от нуля числа?

82. Покажите, что существует квадратный трехчлен, имеющий корни, коэффициенты которого — натуральные числа вида n, 2n, Зn (расположенные в произвольном порядке). Разложите этот трехчлен на множители.

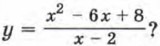
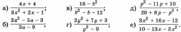
83. Сократите дробь:

84. Сократите дробь:

85. Найдите значение дроби:

86. Чем различаются графики функций у = х - 4 и

Повторение

87. Решите уравнение:

88. Разложите на множители многочлен:

    а) 4х2 - 6х + 2ху - 3у;   б) 4а3 + 2b3 - 2а2b - 4аb2.

89. В какой координатной четверти расположена точка пересечения графиков функций ƒ(x) = 0,8х + 2,1 и g(x) = -0,9х + 3?

<<< К началу          Окончание >>>

 

 

???????@Mail.ru