Главная >> Алгебра 9 класс. Макарычев

§ 2. Квадратный трехчлен

Разложение квадратного трехчлена на множители (окончание)

Контрольные вопросы

1. Дайте определение квадратного трехчлена. Сколько корней может иметь квадратный трехчлен?

2. Покажите на примере выражения 3х2 - 12х + 32, как можно выделить квадрат двучлена из квадратного трехчлена.

3. Сформулируйте и докажите теорему о разложении на множители квадратного трехчлена, имеющего корни.

Ответы

    76. д) -(у - 1)(у - 15) = (1 - у)(у - 15);

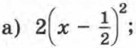
    77. б) -(Зх - 2)2;   в) (4а + З)2;   г) (0,5m - 2)2.

    78. б) -(m - 2)(m - 3) = (2 - m)(m - 3);

    81. Нельзя.

    82. Например, х2 + 3х + 2.

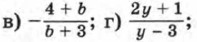
    83.

    85. а) 0,3; -0,93; -0,993;   б) 3;

    87. а) -1; 23;   б) 2;

<<< К началу

 

 

???????@Mail.ru