Главная >> Алгебра 9 класс. Макарычев

§ 3. Квадратичная функция и ее график

Функция у = ах2, ее график и свойства

Одной из важных функций, к изучению которой мы переходим, является квадратичная функция.

Определение. Квадратичной функцией называется функция, которую можно задать формулой вида

    у = ах2 + bх + с,

где х — независимая переменная, а, b и с — некоторые числа, причем а ≠ 0.

Областью определения квадратичной функции является множество всех чисел.

Примером квадратичной функции является зависимость пути от времени при равноускоренном движении. Если тело движется с ускорением а (м/с2) и к началу отсчета времени t прошло путь s0 (м), имея в этот момент скорость υ0 (м/с), то зависимость пройденного пути s (м) от времени t (с) выражается формулой

Если, например, а = 6, υ0 = 5, s0 = 20, то

    s = 3t2 + 5t + 20.

Изучение квадратичной функции начнем с частного случая — функции у = ах2.

При а = 1 формула у = ах2 принимает вид у = х2. С этой функцией вы уже встречались. Ее графиком является парабола.

Построим график функции у = 2х2. Составим таблицу значений этой функции:

Построим точки, координаты которых указаны в таблице. Соединив их плавной линией, получим график функции у = 2х2 (рис. 22, а).

При любом х ≠ 0 значение функции у = 2х2 больше соответствующего значения функции у = х2 в 2 раза. Если переместить каждую точку графика функции у = х2 вверх так, чтобы расстояние от этой точки до оси х увеличилось в 2 раза, то она перейдет в точку графика функции у = 2x2. При этом каждая точка графика функции у = 2х2 может быть получена из некоторой точки графика функции у = х2. Иными словами, график функции у = 2х2 можно получить из параболы у = х2 растяжением от оси х в 2 раза (рис. 22, б).

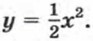
Построим теперь график функции Для этого составим таблицу ее значений:

Построив точки, координаты которых указаны в таблице, и соединив их плавной линией, получим график функции (рис. 23, а).

При любом х ≠ 0 значение функции меньше соответствующего значения функции у = х2 в 2 раза. Если переместить каждую точку графика функции у = х2 вниз так, чтобы расстояние от этой точки до оси х уменьшилось в 2 раза, то она перейдет в точку графика функции , причем каждая точка этого графика может быть получена из некоторой точки графика функции у = х2 (рис. 23, б). Таким образом, график функции можно получить из параболы у = х2 сжатием к оси х в 2 раза.

Вообще график функции у = ах2 можно получить из параболы у = х2 растяжением от оси х в а раз, если а > 1, и сжатием к оси х в раза, если 0 < а < 1.

Рассмотрим теперь функцию у = ах2 при а < 0.

Продолжение >>>

 

 

???????@Mail.ru