Главная >> Алгебра 9 класс. Макарычев

§ 4. Степенная функция. Корень n-й степени

Функция у = хn (окончание)

148. На рисунке 40 изображен график функции у = х4. Найдите по графику значения х, при которых:

    а) у = 5;   б) у = 3,5;   в) у = 8.

149. Пользуясь графиком (см. рис. 40), решите уравнение:

    а) х4 = 6;   б) х4 = 8,5.

150. Решите графически уравнение:

    а) х3 = 2;   б) х3 = 4;   в) х3 = -5.

151. Укажите какое-нибудь значение аргумента, при котором значение функции у = х6 больше, чем 26; 106; 1012; 1018.

152. Укажите какое-нибудь значение аргумента, при котором значение функции у = х5 меньше, чем -З5; -105; -1020.

153. Функция задана формулой ƒ(x) = х3. Вычислите разности ƒ(1) - ƒ(0), ƒ(2) -ƒ(1), ƒ(3) - ƒ(2). Сравните полученные результаты.

154. Выразите формулой зависимость массы m (г) деревянного куба от длины х (см) его ребра, если известно, что куб, ребро которого 10 см, имеет массу 700 г. Постройте график этой зависимости. Пользуясь графиком, найдите:

    а) массу куба, ребро которого равно 2 см; 5 см;
    б) ребро куба, масса которого равна 30 г; 100 г.

Повторение

155. Используя график функции у = х3, решите уравнение:

    а) х3 = x + 1;   б) х3 = 2х;   в) х3 = 2х + 1.

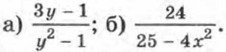
156. Упростите выражение:

157. Принадлежит ли графику функции у = -√x точка А(144; 12)? В(169; -13)? С(-100; 10)?

Ответы

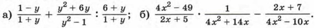
    156.

<<< К началу

 

 

???????@Mail.ru